ВУЗ: Не указан

Категория: Не указан

Дисциплина: Не указана

Добавлен: 27.03.2024

Просмотров: 266

Скачиваний: 1

ВНИМАНИЕ! Если данный файл нарушает Ваши авторские права, то обязательно сообщите нам.

СОДЕРЖАНИЕ

Науково-методичне видання

Рекомендовано науково-методичною радою

Вінницького національного аграрного університету

Протокол№___від «___»_____________ 2011 р.

Лінійна алгебра

1.2 Системи лінійних рівнянь та методи їх розв’язків.

Розділ 2 Аналітична геометрія

2.1. Вектори, типи добутків векторів та методи їх розв’язування.

2.2 Пряма на площині

2.3. Пряма та площина у просторі

Розділ 3 Математичний аналіз

3.2 Похідна функції та її обчислення

3.4 Неозначений інтеграл. Основні методи інтегрування.

I Метод заміни змінної в неозначеному інтегралі.

V. Інтегрування тригонометричних функцій.

3.5 Означений інтеграл. Формула Ньютона-Лейбніца.

3.4 Неозначений інтеграл. Основні методи інтегрування.

I Метод заміни змінної в неозначеному інтегралі.

V. Інтегрування тригонометричних функцій.

3.5 Означений інтеграл. Формула Ньютона-Лейбніца.

Варіанти завдань для самостійного розв’язку Завдання 1

Завдання 2

Завдання 3

Завдання 4

Завдання 5

Завдання 6

Завдання 7

Завдання 8

де - квадратна матриця порядку, складена з коефіцієнтів при невідомих, матриця розмінності , складена з невідомих; матриця розмірності , складена з вільних членів.

Розвязком не виродженої системи лінійних рівнянь записаної у вигляді матричної рівності знаходять за формулою:

Приклад 2

Розв’язати систему рівнянь

методом оберненої матриці.

Розвязок

Запишемо систему в матричному вигляді де

, ,.

Для матриці А обернену ми побудували в попередньому прикладі, тому маємо:

.

Отже, x1 = 1, x2 = 2, x3 = –1 — розв’язок системи.

Завдання 2

  1. Рoзв'язати системи лінійних рівнянь методом Крамера.

  2. Рoзв'язати системи лінійних рівнянь матричним методом.

  3. Рoзв'язати системи лінійних рівнянь методом Гаусса.

Розділ 2 Аналітична геометрія

2.1. Вектори, типи добутків векторів та методи їх розв’язування.

До лінійних належать такі операції над векторами:

  • множення вектора на скаляр . При цьому одержаний век­торгеометрично, залежно від величини і знака, розтягується, стискається, змінює напрям ;

  • додавання векторів. Дія виконується за правилом паралело- грама або трикутника.


Якщо вектор задано в координатній формі, то у разі множення його на скаляр всі координати треба помножити на цей скаляр, а в разі додавання — додати відповідні його координати.

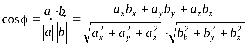
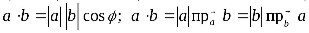
Cкалярного добутку векторів: ;

,

Кут  між векторами: ,

умови паралельності та перпендикулярностідвох векторів.

За використання векторного добутку слід пам’ятати, що він некомутативний, а його модуль дорівнює площі паралелограма, побудованого на векторах-множниках. Знаходять векторний добуток за формулою:

.

Геометричний зміст мішаного добутку полягає в тому, що його модуль дорівнює об’єму паралелепіпеда, побудованого на векторах добутку.

.

У зв’язку з цим його часто використовують для знаходження об’єму і перевірки компланарності трьох векторів

Приклад 1.

Обчислити довжини діагоналей паралелограма, побудованого на векторах і, якщо відомо, що.

Розвязок.

З визначення операції додавання векторів відомо, що одна діагональ паралелограма ,а друга .Довжина довільного вектора визначається за формулою: . Тоді:

Приклад 2.

 Дано три послідовні вершини паралелограма: . Знайти його четверту вершинуі кут між діагоналями.


Розвязок.

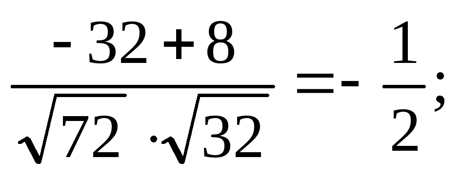
Нехай шукана вершина має координати . З умови колінеарності векторіві маємо: , або. Згідно з властивостями паралелограмаабо. Діагоналі паралелограма дорівнюють відповідно сумі і різниці векторів-сторін;. Кут між діагоналями знайдемо за формулою:

соs  отже,.

Приклад 3.

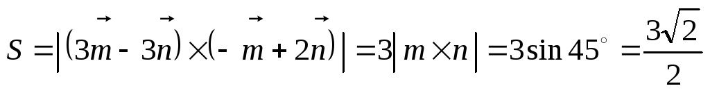
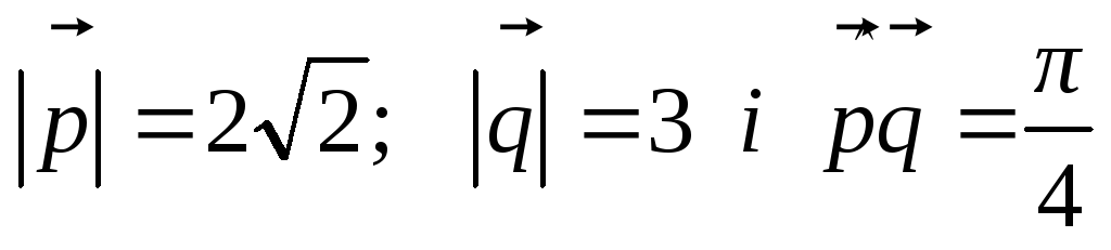
Знайти площу паралелограма, діагоналями якого є вектори і, деі— одиничні вектори, а кут між ними дорівнює 45.

Розвязок.

Позначимо через сторони паралелограма, тоді, звідки. Площу паралелограма знайдемо як модуль векторного добутку. Отже,.

Приклад 4.

Знайти площу і висоту трикутника, вершинами якого є:Розвязок


Знайдемо вектори і. Модуль їх векторного добутку буде дорівнювати подвоєній площі трикутника:звідки.

Знайдемо висоту трикутника: .

Приклад 5.

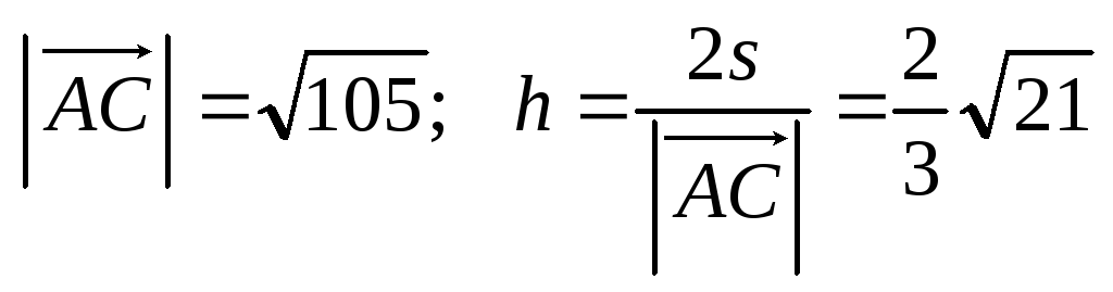
Для піраміди з вершинами ,обчислити об’єм, площу граніАВС і висоту, опущену на цю грань.

Розвязок.

Знайдемо вектори .Модуль мішаного добутку у шість разів більший за об’єм піраміди, побудованої на векторах, тобтоДля обчислення площі гра- ніАВС знайдемо . Тоді, а висота піраміди .


2.2 Пряма на площині

Пряма лінія на площині ХОУ - множника точок М (х;у), що задовольняють рівняння , де А, В, D – задані коефіцієнти прямої, причому

Рівняння прямої, що проходить через точку Мо (хо; уо) і має вектор нормалі має вигляд:

А(х—хо)+В(у—уо) = 0 (1)

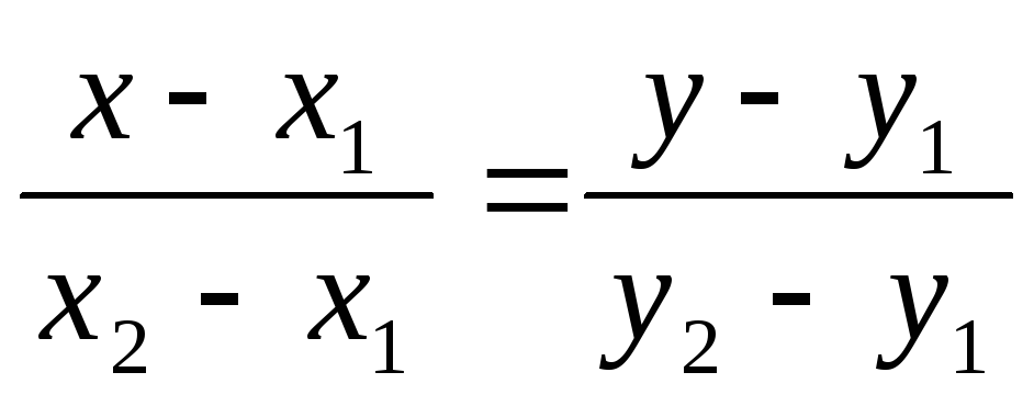
Рівняння прямої, що проходить через дві різні точки М111) i М22;y2) таке:

(2)

Piвняння прямої, що проходить через данy точку М0оо) y зaданомy напрямку

y - yo = k(x—xo) (3)

де k = tgα — кутовий коефіцієнт прямої, α — кут між прямою i віссю ОХ.

Якщо прямої i задані рівняннями з кутовим коефіцієнтами і , то кут між ними обчиcлюється по формулі:

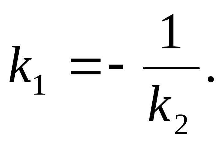
Умова паралельності прямих i має вид k1 = k2 , a yмoвa їх перпендикулярності Якщо прямі 1 і 2 задані загальними рівняннями A1х+ В1y+C1 =0 і A 2x+В2y+C2=0 , то величина кута між ними обчислюється по формyлі