ВУЗ: Не указан
Категория: Не указан
Дисциплина: Не указана
Добавлен: 28.03.2024
Просмотров: 338
Скачиваний: 0
СОДЕРЖАНИЕ
Рекомендовано науково-методичною радою
Вінницького національного аграрного університету
Протокол№___від «___»_____________ 2011 р.
1.2 Системи лінійних рівнянь та методи їх розв’язків.
2.1. Вектори, типи добутків векторів та методи їх розв’язування.
2.3. Пряма та площина у просторі
3.2 Похідна функції та її обчислення
3.4 Неозначений інтеграл. Основні методи інтегрування.
I Метод заміни змінної в неозначеному інтегралі.
V. Інтегрування тригонометричних функцій.
3.5 Означений інтеграл. Формула Ньютона-Лейбніца.
3.4 Неозначений інтеграл. Основні методи інтегрування.
I Метод заміни змінної в неозначеному інтегралі.
V. Інтегрування тригонометричних функцій.
3.5 Означений інтеграл. Формула Ньютона-Лейбніца.
Розвязком
не виродженої системи лінійних рівнянь
записаної у вигляді матричної рівності
знаходять за формулою:

Приклад 2
Розв’язати систему рівнянь
методом оберненої матриці.
Розвязок
Запишемо
систему в матричному вигляді
де
,
,
.
Для матриці А обернену ми побудували в попередньому прикладі, тому маємо:
.
Отже, x1 = 1, x2 = 2, x3 = –1 — розв’язок системи.
Завдання 2
Рoзв'язати системи лінійних рівнянь методом Крамера.
Рoзв'язати системи лінійних рівнянь матричним методом.
Рoзв'язати системи лінійних рівнянь методом Гаусса.
Розділ 2 Аналітична геометрія
2.1. Вектори, типи добутків векторів та методи їх розв’язування.
До лінійних належать такі операції над векторами:
множення вектора на скаляр
.
При цьому одержаний вектор
геометрично, залежно від величини і
знака,
розтягується, стискається, змінює
напрям
;додавання векторів. Дія виконується за правилом паралело- грама або трикутника.
Якщо вектор задано в координатній формі, то у разі множення його на скаляр всі координати треба помножити на цей скаляр, а в разі додавання — додати відповідні його координати.
Cкалярного
добутку векторів:
;
,
Кут
між векторами:
,
умови
паралельності
та перпендикулярності
двох векторів.
За використання векторного добутку слід пам’ятати, що він некомутативний, а його модуль дорівнює площі паралелограма, побудованого на векторах-множниках. Знаходять векторний добуток за формулою:
.
Геометричний зміст мішаного добутку полягає в тому, що його модуль дорівнює об’єму паралелепіпеда, побудованого на векторах добутку.
.
У зв’язку з цим його часто використовують для знаходження об’єму і перевірки компланарності трьох векторів
Приклад 1.
Обчислити
довжини діагоналей паралелограма,
побудованого на векторах
і
,
якщо відомо, що
.
Розвязок.
З
визначення операції додавання векторів
відомо, що одна діагональ паралелограма
,а
друга

.
Довжина
довільного вектора визначається за
формулою:
.
Тоді:
Приклад 2.
Дано
три послідовні вершини паралелограма:
.
Знайти його четверту вершину
і кут між діагоналями.
Розвязок.
Нехай
шукана вершина має координати
.
З умови колінеарності векторів
і
маємо:
,
або
.
Згідно з властивостями паралелограма
або
.
Діагоналі паралелограма дорівнюють
відповідно сумі і різниці векторів-сторін
;
.
Кут між діагоналями знайдемо за формулою:
соs
отже,
.
Приклад 3.
Знайти
площу паралелограма, діагоналями якого
є вектори
і
,
де
і
— одиничні вектори, а кут
між ними дорівнює 45.
Розвязок.
Позначимо
через
сторони паралелограма, тоді

,
звідки
.
Площу паралелограма знайдемо як модуль
векторного добутку
.
Отже,
.
Приклад 4.
Знайти
площу і висоту
трикутника, вершинами якого є:
Розвязок
Знайдемо
вектори
і
.
Модуль їх векторного добутку буде
дорівнювати подвоєній площі трикутника:
звідки
.
Знайдемо
висоту трикутника:
.
Приклад 5.
Для
піраміди з вершинами
,
обчислити об’єм, площу граніАВС
і висоту, опущену на цю грань.
Розвязок.
Знайдемо
вектори

.Модуль
мішаного добутку

у шість разів більший за об’єм піраміди,
побудованої на векторах
,
тобто
Для обчислення площі гра-
ніАВС
знайдемо
.
Тоді
,
а висота
піраміди
.
2.2 Пряма на площині
Пряма
лінія на площині ХОУ - множника точок
М (х;у), що задовольняють рівняння
,
де А, В,D
– задані коефіцієнти прямої, причому

Рівняння
прямої, що проходить через точку Мо (хо;
уо)
і має вектор нормалі
має вигляд:
А(х—хо)+В(у—уо) = 0 (1)
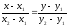
Рівняння прямої, що проходить через дві різні точки М1(х1;у1) i М2(х2;y2) таке:
(2)
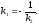
Piвняння прямої, що проходить через данy точку М0(хо;уо) y зaданомy напрямку
y - yo = k(x—xo) (3)
де k = tgα — кутовий коефіцієнт прямої, α — кут між прямою i віссю ОХ.
Якщо
прямої
i
задані рівняннями з кутовим коефіцієнтами
і
,
то кут
між ними обчиcлюється
по формулі:
Умова
паралельності прямих
i
має видk1
= k2
,
a
yмoвa
їх перпендикулярності
Якщо прямі
1
і
2
задані загальними рівняннями A1х+
В1y+C1
=0 і A
2x+В2y+C2=0
, то величина
кута між ними обчислюється по формyлі
умова
їх паралельності

умова їх перпендикулярності A1A2+B1B2=0.
Відстань
d
від точки M0(x0;y0)
до прямої Ax+By+C=0
обчислюється по формулі

Приклад 1.
Дано трикутник із вершинами A(1,-2), В(5;4) i С(-2;0). Скласти рівняння медіани СМ, висоти BN та бісектриси AP.
Разв'язок.
Якщо М(х1;у1)
— середина сторони АB,
то

ізвідси
М(3;1).
Тeпер рівняння медіани CM знайдемо як рівняння прямої, що проходить через дві точки С(-2;0) i М(3;1). Маємо за формулою (2):
Оскільки
висoта
BN
проходить через точку B
i
має вектор нормaлі
то за формулою (1) дістанемо рівняння
прямоїBN:
- 3(х- 5) + 2(y-4)=0 aбo Зх-2y-7=0.
Для визначення рівняння прямої AP скористаємося властивістю бісектриси :
Маємо
тому
.
Оскільки
точка P(x;y)
ділить відрізок ВС y
відношенні
то за формулами
, дістанемо
ітоді,

Отже, рівняння бісектриси AP, знайдемо як рівняння прямої, що проходить
через
дві точки A(1;-2)
i
(формула 2).
Маємо
або
або
Завдання4
Знайти рівняння висоти, медіани i бісектриси тpикутника зі сторонами
2.3. Пряма та площина у просторі
Будь-яке
рівняння першого степеня відносно
координат точки простору
відображає площину. Коефіцієнти при
зміннихА,
В,
С
є компонентами вектора, перпендикулярного
до площини.
Кут
між двома площинами
і
визначається за формулою:
.
Умовою
їх паралельності є:
,
а перпендикулярності —
.
Відстань
від точки
до площини
можна знайти за формулою:
.
Пряма у просторі може бути визначена як перетин двох площин:
або канонічним рівнянням:
,
де
— напрямний вектор прямої,
— точка, що лежить на прямій.