ВУЗ: Не указан
Категория: Не указан
Дисциплина: Не указана
Добавлен: 04.02.2025
Просмотров: 515
Скачиваний: 2
СОДЕРЖАНИЕ
1. Общие сведения об электромагнитных процессах в системах электроснабжения
2. Практические методы расчета тока трехфазного короткого замыкания
2.2. Системы единиц. Составление схем замещения
2.3. Эквивалентные преобразования схем замещения
2.4. Расчет начального, ударного и наибольшего действующего
Ток в генераторе при трехфазном к. З. В точке «к»
2.5. Расчет тока трехфазного к. З. Для любого момента времени переходного процесса
3. Расчет несимметричных коротких замыканий
4. Особенности расчета токов к. З. В схемах сельского электроснабжения напряжением до 1 кВ
2.3. Эквивалентные преобразования схем замещения
При расчете токов к. з. применяют известные методы преобразования и упрощения схем:
1) Определение результирующего сопротивления последовательно соединенных п элементов:
хэк = х1 + х2 + …. + хп. (20)
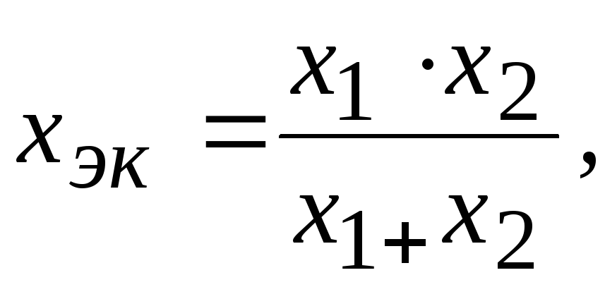
2) Определение результирующего сопротивления при параллельном соединении элементов
; (21)
в
частном случае для двух ветвей
(22)
для
трех ветвей
(23)
3) Замена п генерирующих ветвей, подключенных к общему узлу, одной генерирующей ветвью (рис. 2):
|
|
|
Рис. 2
В частном случае для двух генерирующих ветвей
. (25)
Если
эдс одной ветви равна нулю, например,
нагрузочная ветвь Е2
= 0, то
.(26)
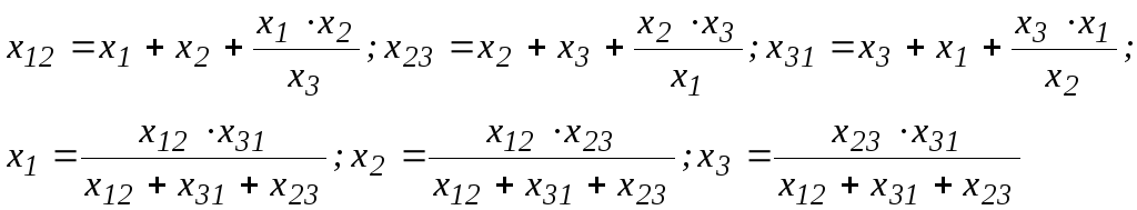
4) Преобразование сопротивлений х1, х2, х3, соединенных в звезду, в эквивалентный треугольник с сопротивлениями х12, х23, х31 , и наоборот (рис. 3):
Рис. 3
(27)
5) Определение взаимных сопротивлений между источником и точкой к. з. при преобразовании схем к радиальному виду (рис. 4).
Рис. 4
Взаимные сопротивления определяют через коэффициенты распределения, характеризующие долю участия каждого источника в питании точки короткого замыкания. В данном случае:
, (28)
где СI, CII, …, Cn – коэффициенты распределения;
СI + CII +…+ Cn = 1;
; (29)
хэкв = х1 // х2 // хп ; х∑ = хэкв + х3. (30)
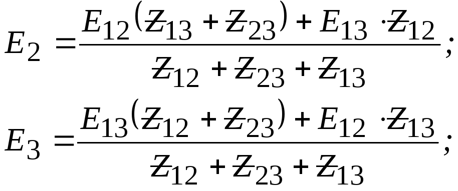
6) Преобразование треугольника с эдс в звезду с эдс (рис. 5):
Рис. 5
(31)
(32)
Применяют и другие методы преобразования: разрезание узлов с к. з., упрощение за счет симметрирования схем и т. п.
2.4. Расчет начального, ударного и наибольшего действующего
значений тока трехфазного короткого замыкания
Пример 1. В точке «К» заданной расчетной схемы (рис. 6) произошло трехфазное к. з. Определить начальный, ударный и наибольший действующий ток в генераторе и в месте короткого замыкания.
Рис.
6
Исходные данные:
Генератор Г: Sн = 30 МВ∙А; Uн = 10,5 кВ; х″d* = 0,26; cos φ 0 = 0,8.
Трансформатор Т1: Sн = 40 МВ∙А; 10,5/121 кВ; ик = 10,5 %.
Трансформатор Т2: Sн = 16 МВ∙А; 110/6,3 кВ; ик = 10,5 %.
Воздушная линия ВЛ: длина ℓ = 80 км; худ = 0,4 Ом/км.
Кабельная линия: длина ℓ = 2,5 км; худ = 0,08 Ом/км
Реактор Р: Uн = 6 кВ; Iн = 0,3 кА; хР = 5 %.
Решение в именованных единицах, приведение точное с использованием действительных коэффициентов трансформации.
Для заданной расчетной схемы составим эквивалентную схему замещения (рис. 7):
Рис. 7
Примем в качестве основной ступень, где находится генератор, т. е. I ступень. Тогда действительные коэффициенты трансформации в направлении от основной ступени будут:
К1 = 10,5 / 121 ; К2 = 110 / 6,3.
Сопротивления элементов схемы, приведенные к основной ступени напряжения, будут:
Г:
Ом;
Т1:
Ом;
или
Ом;
ВЛ:
Ом;
Т2:
Ом;
или
Ом;
Р:
Ом;
КЛ:
Ом.
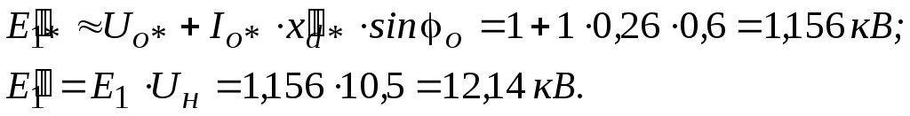
Сверхпереходная эдс генератора по продольной оси находится из условия режима до к. з.:
Г:

Приведем схему к простейшему виду (рис. 8):
Рис 8
Суммарное сопротивление:
х7 = х1 + х2 + х3 + х4 +х5 + х6 = 0,96 + 0,29 + 0,24 + 0,6 +
+ 1,33 + 0,46 = 3,88 Ом.
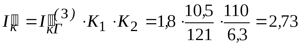
Ток в генераторе при трехфазном к. З. В точке «к»
кА.
Ток в месте к. з.
кА.
Ударный ток в месте к. з. находят так:
. (33)
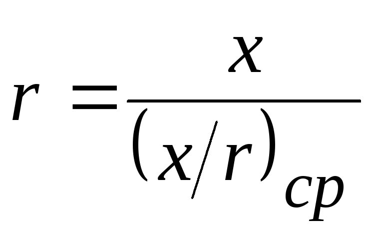
Ударный коэффициент схемы Куд находят по эквивалентной постоянной времени этой цепи. Активные сопротивления отдельных элементов схемы определяют следующим образом:
, (34)
где (x/r)ср приведены в [1], с. 137.
Г:
Ом;
Т1:
Ом;
ВЛ:
Ом;
Т2:
Ом;
Р:
Ом;
КЛ:
Ом.
Результирующее активное сопротивление схемы относительно точки короткого замыкания:
r7 = r1 + r2 + r3 + r4 + r5 + r6 =0,019 + 0,014 + 0,048 + 0,04 +
+ 0,027 + 0,92 = 1,068 Ом.
Отношение ![]()
По
кривой Куд
= f
(x/r)
[2], с. 10 находим ударный коэффициент Куд
= 1,4. Тогда
кА.
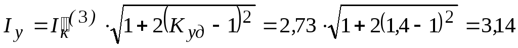
Наибольшее действующее значение тока трехфазного к. з. определим по выражению
кА.
Решение в относительных базисных единицах, приведение приближенное.
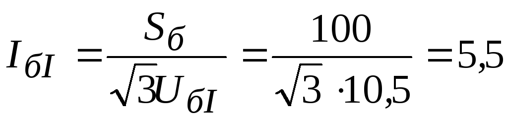
При приближенном приведении базисные напряжения на различных ступенях принимаются равными средним номинальным напряжениям этих ступеней. В данном случае имеем:
Sб = 10 МВ∙А
UбI= 10,5 кВ;
кА;
UбII= 115 кВ;IбII= 0,5 кА;
UбIII= 6,3 кВ;IбIII= 9,18 кА.
Сопротивление элементов схемы
Г : 
В дальнейших расчетах знак *(б) опускаем.
Т1: ![]()
ВЛ: ![]()
Т2: ![]()
Р: ![]()
КЛ:
.
Результирующее сопротивление и эдс:
х7 = х1 + х2 + х3 + х4 + х5 + х6 = 3,986;
.
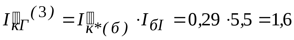
Ток к. з. в * (б) единицах
.
Ток в именованных единицах:
в генераторе
кА;
в месте к. з.
кА.
Применение приближенного приведения дает погрешность, приемлемую для практических расчетов, и в данном случае составляет
.
Таким образом, расчеты по определению токов к. з. в схемах сельского электроснабжения выполняются, как правило, в относительных базисных единицах с учетом приближенного приведения.
2.5. Расчет тока трехфазного к. З. Для любого момента времени переходного процесса
Для определения тока в месте замыкания широко применяется метод расчетных кривых. Метод основан на применении специальных кривых γt = f (t, Iпо * (ном)) [3].
Порядок расчета:
1. Составляют эквивалентную схему для определения начального тока к. з. Iпои определяют значения сверхпереходных эдсЕ″генераторов и нагрузок и сопротивления элементов схемы, например в относительных базисных единицах.
2. Преобразуют схему замещения к радиальному виду, выделив отдельные генерирующие ветви (рис. 9).
(24)