ВУЗ: Не указан
Категория: Не указан
Дисциплина: Не указана
Добавлен: 04.02.2025
Просмотров: 514
Скачиваний: 2
СОДЕРЖАНИЕ
1. Общие сведения об электромагнитных процессах в системах электроснабжения
2. Практические методы расчета тока трехфазного короткого замыкания
2.2. Системы единиц. Составление схем замещения
2.3. Эквивалентные преобразования схем замещения
2.4. Расчет начального, ударного и наибольшего действующего
Ток в генераторе при трехфазном к. З. В точке «к»
2.5. Расчет тока трехфазного к. З. Для любого момента времени переходного процесса
3. Расчет несимметричных коротких замыканий
4. Особенности расчета токов к. З. В схемах сельского электроснабжения напряжением до 1 кВ
составить комплексные схемы замещения, в которых х1∑,х2∑ , х3∑ соединены между собой определенным образом в зависимости от вида к. з.;
определить ток прямой последовательности в комплексной схеме замещения. Последний является током трехфазного к. з. при эквивалентном трехфазном к. з.;
найти полный ток несимметричного к. з. по выражению (39).
Результирующие сопротивления прямой, обратной и нулевой последовательностей находят по соответствующим схемам
Схема прямой последовательности (ПП) – обычная схема, которую составляют для расчета симметричного трехфазного к. з. В зависимости от момента времени переходного процесса генераторы, синхронные компенсаторы и нагрузки в схему замещения вводят соответствующими реактивностями и эдс. По схеме определяютЕ1∑ их1∑генерирующих ветвей, а также коэффициенты распределения для них.
Схема обратной последовательности (ОП)отличается от схемы ПП отсутствием в ней эдс и значением реактивных сопротивлений генераторов и нагрузок. За начало схемы прямой (обратной) последовательности (Н1,Н2) принимают точку, в которую объединены свободные концы генерирующих ветвей (точка нулевого потенциала). Концом схемы считают точку, где возникло к. з. (К1,К2).
Для элементов системы с неподвижными магнитосвязанными цепями индуктивные сопротивления прямой и обратной последовательности равны между собой. Таким образом, для трансформаторов, воздушных и кабельных линий, реакторов х1 = х2. Для вращающих машинх1 ≠ х2. В практических расчетах принимают:
для синхронных машин без демпферных обмоток х2 =1,45 ∙ х′d;
для турбогенераторов и синхронных машин с демпферными обмотками
х2 =1,22 ∙ х′d;
для асинхронных двигателей
;
для комплексной (обобщенной) нагрузки х2* = 0,35.
Т а б л и ц а 6
|
Вид к.з. |
К(3) |
К(1,1) |
К(2) |
К(1) |
|
Граничные условия |
UКА = 0 UКВ = 0 UКС = 0 |
IКА = 0 UКВ = 0 UКС = 0 |
IКА = 0 IКВ = -IКС UКВ = UКС |
UКА = 0 IКВ = 0 IКС = 0 |
|
Соотношение между симметричными составляющими |
IКА = IКА1 IК2 = 0 IКо = 0 |
UКА1 = UКА2 UКА1 = UКо IКА1+IКА2 +IКо= 0 |
IКА1 = 0 UКА1 = UКА2 IКА1 =-IКА2 |
IКА1 = IКА2 IКА1 = IКо UКА1+UКА2 +UКо= 0 |
|
Дополнительное сопротивление х(п) |
0 |
х2 |
х2 + хо |
|
|
Ток прямой последовательности IКА1(п) |
||||
|
Ток обратной последовательности IКА2(п) |
---- |
-IКА1 |
IКА1 |
|
|
Ток нулевой последовательности IКо(п) |
---- |
0 |
IКА1 |
|
|
m(п) |
1 |
3 |
||
|
Ток к.з. IК(п) |
IК(3) =IКА1(3) |
IК(1,1) = m (1,1)× IКА1(1,1) |
IК(2) = m (2)× IКА1(2) |
IК(1) = m (1)× IКА1(1) |
|
Напряжение прямой последовательности UКА1(п) |
0 |
IКА1 (х2 ║ хо) |
IКА1 × х2 |
IКА1 (х2 + хо) |
|
Напряжение обратной последовательности UКА2(п) |
0 |
IКА2 × х2 |
IКА2 × х2 |
IКА2 × х2 |
|
Напряжение нулевой последовательности UКо(п) |
0 |
IКо × хо |
IКо × хо |
IКо × хо |
Схема нулевой последовательности (НП).Токи НП по существу являются составляющими однофазного тока, разделенного между тремя фазами и возвращающегося через землю и параллельные ей цепи (тросы линий, оболочки кабелей). Поэтому путь токов НП существенно отличается от путей, по которым протекают токи ПП и ОП.
Составление схемы НП начинают от точки к. з., считая, что в этой точке фазы замкнуты между собой и к ней относительно земли приложено напряжение НП Uко. Далее выявляют возможные пути протекания токов НП и в схему замещения включаются элементы, через которые протекают токи. Началом схемы (Но) является точка нулевого потенциала (земля), концом – точка к. з. (Ко).
Схемы ПП, ОП и НП представлены на рис. 15
Рис. 15
Система токов НП существенно отличается от схем ПП и ОП и поэтому сопротивления элементов для токов НП совершенно иные.
Синхронные машины: сопротивление НП зависит от конструкции и типа обмоток и колеблется в пределаххо* =(0,15…0,6)∙ х′d.
Асинхронные двигатели: достаточно достоверное значениехоможет быть получено лишь опытным путем, или по данным завода-изготовителя.
Комплексная нагрузка: определяется конкретной схемой соединения элементов нагрузки и питающей сети.
Реакторы: представляют собой однофазный аппарат, поэтомухо = х1.
Воздушные ЛЭП:токи НП линий электропередачи возвращаются через землю и по грозозащитным заземляющим тросам, если последние имеются. Для практических расчетов принимают:
одноцепная линия без тросов хо = 3,5х1;
двухцепная линия без тросов хо = 5,5х1;
одноцепная линия со стальным тросом хо = 3х1;
одноцепная линия с медным тросов хо = 2х1;
двухцепная линия со стальным тросом хо = 4,7х1;
двухцепная линия с медным тросом хо = 3х1.
Кабельные линии:приближеннохо ≈ (3,5…4,6)х1, или точное значение из замеров в реальных условиях.
Трансформаторы:индуктивное
сопротивление НП трансформатора
определяется его конструкцией и
соединением обмоток. Со стороны обмотки
трансформатора, соединенной треугольником
(∆) или в звезду без заземлен ной нейтрали(
),сопротивление НП трансформаторахо= ∞, так как в этом случае исключается
возможность циркуляции токов НП в данном
трансформаторе. Следовательно, конечная
величина сопротивления НП трансформатора
может быть только со стороны его обмотки,
соединенной в звезду с заземленной
нейтралью(
).
Для трансформаторов
со схемой
/ ∆
причем токи НП не выходят за треугольник.
Для трансформаторов
со схемой
/

Для трансформаторов
со схемой
/

где хвн – сопротивление НП элементов, подключенных к вторичной обмотке трансформатора.
Если на вторичной обмотке нет заземленных элементов, то
(хвн = ∞), тохо* = хI* + хμ* .
Если нейтраль трансформатора заземлена через сопротивление RN, то оно учитывается в схеме замещения утроенным значением.
Пример 3. При поочередном к. з. в точке «К» (рис. 16) определить токи двухфазного, однофазного и двухфазного к. з. на землю для момента времениt= 0 .
Рис. 16
Исходные данные:
Г1, Г2: Sн= 35 МВ∙А;Uн= 10,5 кВ;х″d* = 0,23;
Т1, Т2: Sн= 40 МВ∙А; 10,5/121 кВ;ик= 10,5 %;
Т3: Sн= 6,3 МВ∙А; 110/6,3 кВ;ик= 10,5 %;
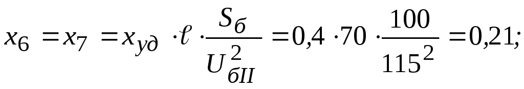
ВЛ1: ℓ= 70 км;худ = 0,4 Ом/км, двухцепная со стальным тросом;
ВЛ2: ℓ= 25 км;худ = 0,4 Ом/км, одноцепная без троса;
АД: Рн= 3,2 МВт;Uн= 6 кВ;η= 0,94;cos φ= 0,9;Кп= 4,2;
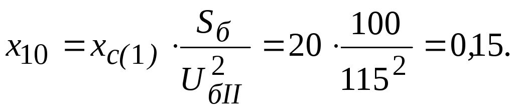
С: хс(1)=хс(2) = 20 Ом;хс(о) = 60 Ом.
Расчет проводим в относительных базисных единицах при приближенном приведении.
Намечаем ступени напряжения и устанавливаем базисные единицы:
Sб = 100 МВ∙А;
UбI= 10,5 кВ;UбII= 115 кВ; UбIII= 6,3 кВ;
кА.
Схема замещения ПП, рис. 17:
Рис. 17
Сопротивление элементов схемы ПП:
Г1; Г2: ![]()
При дальнейших расчетах знак *(б) опускаем.
Т1; Т2: ![]()
Т3: ![]()
ВЛ1: ![]()
ВЛ2: ![]()
АД: ![]()
С: ![]()
Эдс генерирующих ветвей:
Г1, Г2:

С: Е″3= 1,0;
АД: 
Преобразуем схему к радиальному виду, выделив три генерирующих ветви (рис. 18): систему, генераторы станции, АД.
Рис. 18
Коэффициенты распределения генерирующих ветвей:
Г1, Г2: ![]()
АД: ![]()
С:
;
Схема замещения ОП (рис. 19):
Рис. 19
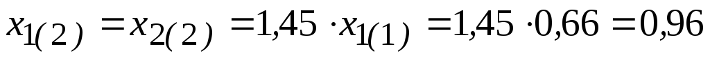
Сопротивления элементов схемы ОП такие же, как в схеме ПП, кроме генераторов. Для генераторов имеем:
.
Преобразуем схему (рис. 20) и определим сопротивления генерирующих ветвей для ОП:
Рис. 20
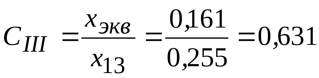
Результирующее
сопротивление ОП:
х2∑ = х11(2) // х12(2) // х13(2) = 0,176.
Схема замещения НП (рис. 21):
Рис. 21
Сопротивления элементов схемы: