ВУЗ: Не указан
Категория: Не указан
Дисциплина: Не указана
Добавлен: 13.04.2025
Просмотров: 611
Скачиваний: 0
СОДЕРЖАНИЕ
1°. Уравнение в полных дифференциалах.
2°. Уравнения с разделяющимися переменными.
§ 4. Уравнения 1-го порядка, неразрешенные относительно производной.
3°. Связь нормальных систем с общими дифференциальными уравнениями (оду) n-го порядка.
5°. Нормальная линейная система (нлс).
1°. Линейная однородная система (лос).
2°. Фундаментальная система решений (фср).
4°. Формула Лиувилля-Остроградского (Формула Якоби).
4°. Линейные неоднородные уравнения - го порядка с постоянными коэффициентами и правой частью.
5°. Лос с постоянными коэффициентами.
5°. Лос с постоянными коэффициентами.
1°. Теорема о непрерывной зависимости решений от реальных условий.
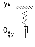
Билет № 1
1°. Пример
![]()
,
(
-
ускорение)
(если подобрать
)
,
![]()
(множество решений)
(положение груза
при
)
(положение груза
в начале колебаний)
2°. Определения.
Опред.:
Обыкновенным
дифференциальным уравнением
-ного
порядка называется уравнение
,
где
-
независимая переменная,
-
искомая функция от
,
-
заданная функция от
переменных.
Опред.:
Функция
называется решением дифференциального
уравнения на интервале
,
если при подстановке в это уравнение
она обращает его в тождество по
,
на интервале
.
,
-
дифференциальное уравнение 1-го порядка.
-
решение ДУ
интеграл
ДУ
Опред.: Интегральная кривая ДУ - график любого решения ДУ.
Опред.: Интегрирование в квадратурах - выражение решения дифференциального уравнения с помощью элементарных функций и интегралов от них.
![]()
,
![]()
(неявная функция,
решение ДУ)
Опред.: Интегральная кривая – полуокр. (верхняя или нижняя)
(общий интеграл
ДУ)
3°. Геометрический смысл ду.
(это ДУ, разрешенное
относительно производной)
-
определена в области
.
В каждой точке области мы знаем касательную к решению.
Опред.: Совокупность линий называют полем направлений, соответствующим дифференциальному уравнению.
С геометрической точки зрения нахождение решений ДУ- есть нахождение всех кривых, касательные в каждой точке к которым совпадают с соответствующими прямыми поля направлений.
4°. Задача Коши.
Опред.:
Задачей
Коши для уравнения
наз. задача нахождения решения
этого
уравнения, удовлетворяющего условию:
,
(н. у.).
Билет № 2
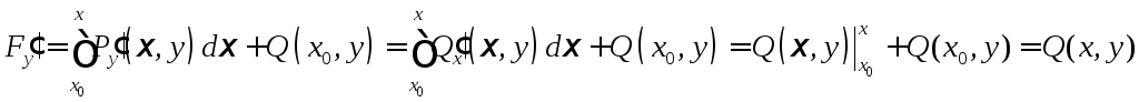
1°. Уравнение в полных дифференциалах.
Опред.:
Уравнением
в полных дифференциалах называется
уравнение вида
,
левая часть которого - полный дифференциал
от некоторой функции![]()
Теорема:
Всякое решение уравнения в полных
дифференциалах удовлетворяет уравнению
для некоторого
.
Доказательство:
Пусть
-
решение,
-
решение![]()
![]()
.
Теорема доказана.
Теорема:
Пусть функции
непрерывны в
.
Тогда для того, чтобы уравнение
было уравнением в полных дифференциалах,
необходимо и достаточно условие
.
Доказательство:
Необходимость.
Достаточность.
,

2°. Уравнения с разделяющимися переменными.
Опред.:
Уравнение
вида
![]()
![]()
,
где
-
непрерывна на
,
непрерывна
на
,
называется уравнением с разделяющимися
переменными.
6°. Интегрирующий множитель.
,
,
![]()
Если
является
уравнением в полных дифференциалах, то
называется
интегрирующим множителем.
Пример:
,
,![]()
Билет № 3
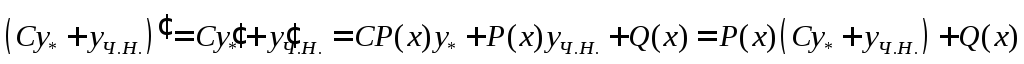
3°. Линейные дифференциальные уравнения 1-го порядка.
Опред.:
Если функция
,
то уравнение называется линейным
однородным.
Лемма:
![]()
Доказательство:
.
.
.
-два частных
решения.
Метод вариации постоянных.
4°. Уравнение Бернулли.
,
где
![]()
,

Если
,
то нужно смотреть, не потеряно ли решение
.
5°. «Однородные» уравнения.
Опред.:
Дифференциальное
уравнение 1-го порядка называется
однородным, если его можно привести к
виду:
![]()
=>
=>
=>![]()
Билет № 4
1°. Метрическое пространство.
Опред.:
Метрическое
пространство -
это множество
,
любой паре элементов
которого поставлено в соответствие
неотрицательное число
,
называемое расстоянием между ними и
удовлетворяющее следующим аксиомам: