ВУЗ: Не указан
Категория: Не указан
Дисциплина: Не указана
Добавлен: 01.07.2025
Просмотров: 27
Скачиваний: 0
МОДУЛЬ 3.
ОПРЕДЕЛЕНИЕ МОМЕНТА ИНЕРЦИИ И ПРОВЕРКА ТЕОРЕМЫ ШТЕЙНЕРА МЕТОДОМ КРУТИЛЬНЫХ КОЛЕБАНИЙ
Приборы и принадлежности: трифилярный подвес, секундомер, линейка, набор грузов.
|
№ УЭ |
Учебный материал с указанием заданий |
Рекомендации по освоению учебного материала |
|
0 0.1
0.2
0.3
|
цель Помнить: определения момента инерции материальной точки и твердого тела, момент инерции цилиндра, диска, шара, стержня, теорему Штейнера. ПОНИМАТЬ: физический смысл момента инерции. ПРИМЕНЯТЬ: определение момента инерции для получения формулы момента инерции цилиндрического тела, теорему Штейнера для определения момента инерции твердого тела относительно оси, не проходящей через его центр масс, лабораторную установку для определения момента инерции подвеса, подвеса с одним и двумя грузами.
|
Рекомендуемая литература:
|
|
1
1.1
1.2
1.3
1.4 1.5
1.6
1.6.1
1.6.2
|
цель Помнить: определения момента инерции материальной точки и твердого тела, момент инерции цилиндра, диска, шара, стержня, теорему Штейнера. ПОНИМАТЬ: физический смысл момента инерции. ПРИМЕНЯТЬ: определение момента инерции для получения формулы момента инерции цилиндрического тела, теорему Штейнера для определения момента инерции твердого тела относительно оси, не проходящей через его центр масс. Дать определение момента инерции материальной точки, твердого тела. Каков физический смысл момента инерции? Выведите формулы момента инерции диска, шара, стержня, цилиндра. Сформулируйте теорему Штейнера.
Запишите в тетрадь
рабочую формулу:
где т – масса подвеса; g – ускорение свободного падения; R – радиус нижнего диска; r – радиус верхнего диска; l – длина нитей подвеса; T – период колебания.
Изучите ход работы и ответьте на вопросы: Какой результат должен получиться в конце работы? Какие измерения и наблюдения необходимо провести для получения этого результата?
|
Изучите рекомендуемую литературу.
Найдите все величины, входящие в формулу на рисунке.
|
|
2
2.1
2.2
2.3
2.4
2.5
2.6
2.7
2.8
2.9
2.10
2.11 |
цель ПРИМЕНЯТЬ: лабораторную установку для определения момента инерции подвеса, подвеса с одним и двумя грузами, теорему Штейнера для определения момента инерции цилиндра относительно оси, не проходящей через его центр масс.
Определите период
колебаний подвеса
Определите момент
инерции подвеса по формуле
Поставьте в центр
подвеса цилиндрический груз и определите
период
Определите момент
инерции подвеса с грузом по формуле
где т – масса подвеса с грузом; T=Т1 – период колебания подвеса с грузом.
Определите момент
инерции самого груза
Поставьте два
цилиндрических груза на равном
расстоянии от центра подвеса и
определите период
Определите момент
инерции подвеса с грузами по формуле
где т – масса подвеса с двумя грузами; T=Т2 – период колебания подвеса с двумя грузами.
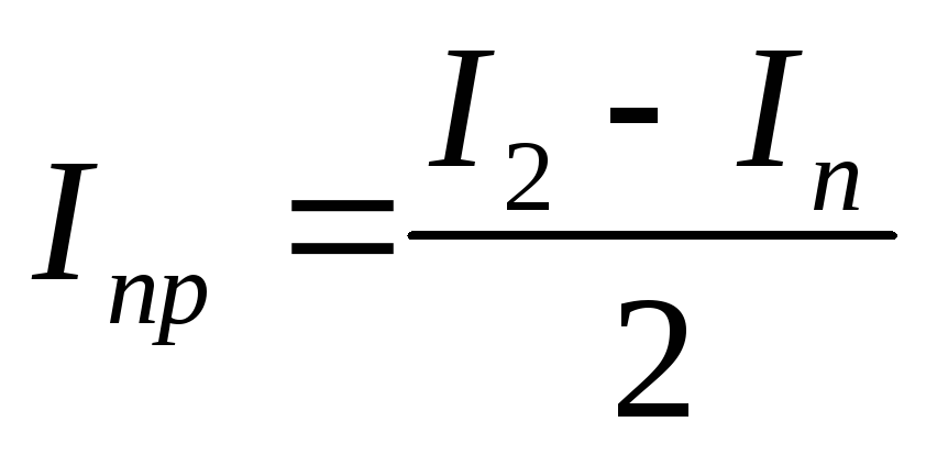
Определите момент
инерции груза, находящегося на
расстоянии а
от оси вращения
Определите момент
инерции груза, находящегося на
расстоянии а
от оси вращения используя теорему
Штейнера:
Сравните экспериментальное и теоретическое значения момента инерции.
Найдите
относительное отклонение
|
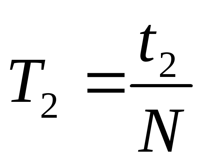
Колебания (крутильные!!!) должны быть гармоническими, поэтому не рекомендуется сильно раскачивать подвес. Определите t - время N=20 полных колебаний подвеса.
См. п. 1.5
Определите t1 - время N=20 полных колебаний подвеса. Старайтесь отклонять подвес на тот же угол, что и п. 2.1.
Не ставьте грузы близко к краю! Определите t2 - время N=20 полных колебаний подвеса. Старайтесь отклонять подвес на тот же угол, что и п. 2.1. Определите расстояние а от оси вращения подвеса до оси, проходящей через центр масс груза, параллельно оси вращения подвеса.
т – масса цилиндрического груза (одного); а – расстояние от оси вращения до оси цилиндра.
|
|
3 3.1
3.2
3.3 3.4 3.5
3.6
3.7 3.8 |
КОНТРОЛЬНЫЕ ВОПРОСЫ Что такое момент инерции тела и от чего он зависит? Каков физический смысл момента инерции? Чему равен момент инерции цилиндра? Чему равен момент инерции диска? Чему равен момент инерции материальной точки? Чему равен момент инерции системы материальных точек? Сформулируйте теорему Штейнера. В каких случаях для определения момента инерции используется теорема Штейнера? |
|
