ВУЗ: Не указан
Категория: Не указан
Дисциплина: Не указана
Добавлен: 28.07.2025
Просмотров: 93
Скачиваний: 0
ЛАБОРАТОРНАЯ РАБОТА
ИССЛЕДОВАНИЕ ГАЗОРАЗРЯДНОЙ ПЛАЗМЫ МЕТОДОМ ЗОНДОВ
Цель работы: Знакомство с экспериментальной методикой зондовой диагностики газоразрядной плазмы; экспериментальное определение параметров положительного столба разряда низкого давления.
Введение
Газоразрядная плазма представляет собой высоко ионизованный газ (109—1012 пар ионов на 1 см3), в котором концентрации положительно и отрицательно заряженных частиц приблизительно равны между собой и хаотическое движение частиц преобладает над их направленным движением.
Различают два вида плазмы — изотермическую и газоразрядную.
Изотермическая плазма в чистом виде наблюдается лишь в области высоких температур (атмосфера звезд, солнца, термоядерные реакции и т. д.). Она возникает и поддерживается за счет термической ионизации газа. Такая плазма находится в состоянии термодинамического равновесия, т. к. средняя кинетическая энергия всех составляющих плазму частиц—положительных и отрицательных ионов, электронов, нейтральных и возбужденных частиц—одинакова и соответствует температуре окружающего пространства.
В газоразрядной плазме, имеющей место в ионных приборах, заряженные частицы приобретают энергию, достаточную для ионизации нейтрального газа, за счет ускорения в электрическом поле.
Такая плазма является термически неравновесной вследствие того, что в стационарном режиме средняя скорость (и средняя энергия) теплового движения заряженных частиц, получающих дополнительное ускорение в электрическом поле, оказывается больше средней скорости нейтральных частиц газа.
Энергия теплового движения положительных и отрицательных ионов, обладающих массой, близкой к массе нейтральной частицы, сравнительно невелика вследствие заметного обмена энергиями при соударениях с нейтральными частицами газа. Энергия электронов, обладающих ничтожно малой массой, оказывается во мне1;» раз больше энергии нейтральных частиц газа, поскольку электроны' практически не теряют энергии при упругих соударениях, неупругие же соударения составляют ничтожную долю от общего числа соударений.
При наличии у электронов максвелловского распределения по скоростям, среднюю кинетическую энергию электронов в плазме можно характеризовать температурой Т.
Температура электронного газа оказывается много выше температуры нейтрального газа.
Температура электронного газа является основным внутренним параметром, характеризующим энергетическое состояние электронов в плазме. Кроме того, к параметрам плазмы относятся: плотности направленного ионного и электронного токов, продольная напряженность поля (Еz) и распределение потенциала вдоль разрядного пространства.
Определение параметров плазмы
Экспериментальное определение параметров плазмы производится с помощью метода зондовых характеристик.
Зондовая характеристика представляет собой зависимость тока, протекающего из плазмы на погруженный в нее электрод (зонд), от задаваемого на этот электрод потенциала.
Размеры зонда выбираются обычно настолько малыми, что можно пренебречь падением потенциала вдоль зонда и искажения- ми поля, вносимыми зондом в исследуемый разряд.
На рис. 1 представлена принципиальная электрическая схема для снятия зондовых характеристик.
-

Рис.1
Как видно из представленной на рис. 4 схемы, потенциал зонда 3 можно задавать относительно одного из основных электродов разрядной трубки с накаленным катодом — анода А или катода К. (Разность потенциалов между этими электродами отсчитывается по вольтметру Ua).
Потенциал зонда относительно одного из основных электродов, а следовательно, и относительно той точки плазмы, в которой располагается зонд, можно менять потенциометром R1.
При больших отрицательных потенциалах зонда относительно окружающей его плазмы электроны, находящиеся в непосредственной близости от зонда, будут отталкиваться электрическим полем; ток на зонд в этом случае обусловлен только положительными ионами.
При уменьшении отрицательного потенциала зонда на его поверхность начинают попадать из плазмы наиболее быстрые электроны», скорости которых по направлению к зонду достаточны для преодоления тормозящего поля между зондом и плазмой. Количество таких электронов (л), отнесенное к единице времени и единице поверхности зонда, определяется законом Больцмана:
(1)
где n0—концентрация электронов в невозмущенной зондом плазме;
е—заряд электрона;
ξ —основание натурального логарифма;
—U—потенциал зонда относительно плазмы;
k-—постоянная Больцмана;
Т—абсолютная температура электронного газа.
Электронный ток на зонд для этого случая будет определяться уравнением:
(2)
или
![]()
(3)
где υ-— средняя арифметическая скорость движения электронов при наличии максвелловского распределения по скоростям;
S — площадь зонда;
m — масса электрона.
За счет попадающих на зонд электронов общий ток в цепи зонда уменьшается, так как часть заряда, отдаваемого зонду положительными ионами, компенсируется приходящими из плазмы электронами.
По мере повышения потенциала зонда электронный ток возрастает и при некотором значении потенциала становится равным ионному (при этом общий ток на зонд равен нулю).
При дальнейшем увеличении потенциала зонда электронный ток начинает превышать ионный (ток в цепи зонда меняет свое направление), продолжая нарастать по закону Больцмана до тех пор, пока потенциал зонда не сравняется с потенциалом окружающей его плазмы.
Дальнейшее повышение потенциала зонда (U>0) приводит к быстрому излому в ходе зондовой характеристики, так как при положительных потенциалах зонда относительно плазмы электронный ток на зонд подчиняется уже другому закону, а именно, закону «степени 3/2» (закону Лангмюра):
(4)
Уже при незначительных положительных потенциалах электронный ток на зонд достигает «тока насыщения», поскольку все электроны, пересекающие оболочку зонда, достигают его поверхности; при дальнейшем увеличении потенциала зонда существенного изменения тока не наблюдается.
Общий вид полученной таким образом зондовой характеристики представлен на рис. 5.
На этом рисунке значения ионного тока отложены вниз от оси абсцисс, а электронного — вверх, причем нижняя и верхняя ветви характеристики построены в разных масштабах, поскольку ионный ток на зонд оказывается во много раз меньше электронного.
-

Рис.2
По зондовой характеристике путем несложных подсчетов и графических построений можно определить все параметры плазмы.
Остановимся на методике их определения. Согласно закона Больцмана, зависимость 1nIe=f(U) при U<0 должна представлять прямую линию с угловым коэффициентом (tgφ=e/kT), зависящим от температуры электронного газа.
Следовательно, для определения Т по снятой экспериментальным путем зондовой характеристике необходимо, прежде всего, из общего тока на зонд выделить его электронную составляющую, т.е. к значениям полного тока, соответствующим зондовой характеристике, прибавить величину ионного тока. Ионный ток при любых потенциалах зонда можно определить экстраполяцией прямолинейного участка нижней ветви характеристики в сторону возрастания потенциала (пунктирная прямая). Экстраполяция ионного тока по прямой несколько произвольна и не может быть правильной на большом протяжении. Однако поправка на ионный ток необходима лишь в самом начале кривой электронного тока, где он одного порядка с ионным. При потенциалах зонда относительно плазмы, близких к нулю, электронный ток оказывается много больше ионного и поправка несущественна.
При наличии у электронов плазмы максвелловского распределения по скоростям, характеристика 1nIe=f(Uз) при потенциалах зонда, меньших потенциала окружающей его плазмы, должна представлять прямую линию с угловым коэффициентом
tgφ=e/kT
(Здесь Uз — потенциал зонда, отсчитанный относительно одного из электродов разрядной трубки).
По угловому коэффициенту прямой можно определить температуру электронного газа:
(tgφ определяется по отношению катетов прямоугольного треугольника abd (рис. 3), взятых в масштабе осей tgφ=ab/bd)
Как уже говорилось выше, при потенциале зонда, равном потенциалу плазмы, в ходе зондовой характеристики должен наступить резкий излом; этот излом еще более резко выражен в характеристике 1nIe=f(Uз), где при потенциалах зонда, близких к потенциалу плазмы, начинается отклонение от линейной зависимости между 1nIe и Uз, а при U>0 кривая быстро переходит в прямую, параллельную оси абсцисс (рис.6).
По точке излома кривой 1nIe=f(Uз) можно определить потенциал зонда, равный потенциалу плазмы в данной точке, т. е., в конечном итоге, определить потенциал плазмы в месте нахождения зонда.
Так как на опыте мы отсчитываем потенциал зонда Uз относительно анода или катода, то значение потенциала зонда Uз0, при котором имеет место излом характеристики, будет соответствовать U= 0, а точка а даст потенциал точки газа, в которой находится зонд, по отношению к катоду или аноду разрядной трубки.
Если излом характеристики не достаточно четок для безошибочного определения потенциала плазмы, то можно продолжить прямолинейные участки характеристики до их пересечения (как это показано на рис. 3) и отсчитать абсциссу точки пересечения.
Снять полную картину распределения потенциала в разрядном пространстве и вычислить продольный градиент поля в трубке можно лишь при наличии в разрядном пространстве подвижного зонда или нескольких зондов, расположенных на известном расстоянии друг от друга.
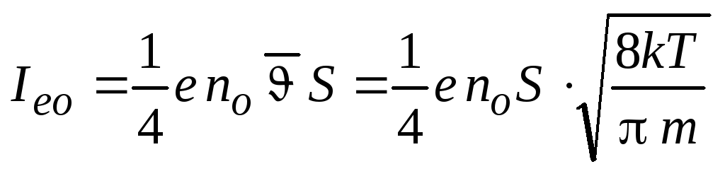
Ток на зонд при Uз =Uзо, когда поле между зондом и плазмой отсутствует, обусловлен только хаотическими скоростями беспорядочного движения электронов:
()
Из этого уравнения можно вычислить концентрацию заряженных частиц, определив предварительно температуру электронного газа (Т) и величину тока на зонд при потенциале зонда, равном потенциалу плазмы (Ieo):
()
По зондовой характеристике (рис. 2) можно определить также потенциал стенки, вблизи которой располагается зонд, и плотность ионного тока на стенку.
Для определения этих величин можно воспользоваться тем, что в установившемся режиме общий ток на изолированную стенку равен нулю, т.е. количество положительно и отрицательно заряженных частиц, приходящих в единицу времени к единице поверхности стенки, одинаково.