Файл: ДОСЛІДЖЕННЯ ЧИСЕЛЬНИХ МЕТОДІВ ВИРІШЕННЯ НЕЛІНІЙНИХ РІВНЯНЬ МЕТОДАМИ НЬЮТОНА, СІЧНИХ ТА ПРОСТОЇ ІТЕРАЦІЇ.docx
ВУЗ: Не указан
Категория: Не указан
Дисциплина: Не указана
Добавлен: 30.03.2019
Просмотров: 1016
Скачиваний: 1
Вінницький національний технічний університет
Кафедра комп’ютерних наук
Факультет ІТКІ
КУРСОВА РОБОТА
з дисципліни «Чисельні методи»
на тему: «Дослідження чисельних методів вирішення нелінійних рівнянь»
Студента 2 курсу групи 2КН-16б,
спеціальності: 122 Комп’ютерні науки
Іванова І. І. _______________________
Керівник:
к.т.н., доц. Богач І. В._______________
Національна шкала ________________
Кількість балів: ___ Оцінка: ECTS ___
Члени комісії:
___________________________
___________________________
м. Вінниця – 2018 рік
Міністерство освіти і науки України
Вінницький національний технічний університет
Факультет інформаційних технологій та комп’ютерної інженерії
ЗАТВЕРДЖУЮ
Зав.кафедри КН, проф., д.т.н.
_______________ А.А.Яровий
(підпис)
«___» ______________ 2018 р.
ІНДИВІДУАЛЬНЕ ЗАВДАННЯ
на курсову роботу з дисципліни «Чисельні методи»
студенту групи 2КН-16б
ДОСЛІДЖЕННЯ ЧИСЕЛЬНИХ МЕТОДІВ ВИРІШЕННЯ НЕЛІНІЙНИХ РІВНЯНЬ
Постановка задачі:
-
Дослідити чисельні методи вирішення нелінійних рівнянь.
-
Розробити програмне забезпечення для розв’язання нелінійних рівнянь заданими методами (кожен метод реалізувати окремою функцією)
-
Протестувати програму
-
Вирішити задане нелінійне рівняння, проаналізувати отримані результати, розрахувати похибки
Вхідні дані:
-
задане нелінійне рівняння:

-
методи для вирішення нелінійного рівняння: Ньютона, січних та простої ітерації
-
задана похибка: 0.01
Зміст пояснювальної записки до курсової роботи:
Індивідуальне завдання
Вступ
-
Короткі теоретичні відомості
-
Алгоритми методів
-
Розробка програмного забезпечення (вибір мови програмування; вхідні/вихідні дані; структура програми; інструкція користувачеві)
-
Тестування програмного забезпечення
-
Аналіз отриманих результатів
Висновки
Перелік посилань
Додатки (схема програми; лістинг програми та додаткові, за необхідності)
Дата видачі «___» __________ 2018 р. Керівник ___________ І.В.Богач
(підпис)
Завдання отримав ___________ І.І.Іванов
(підпис)
АНОТАЦІЯ
В даній курсовій роботі розглянуто методи розв’язку нелінійних рівнянь. Особливу увагу приділено методам Ньютона, січних та простої ітерації. Складено схеми алгоритмів та написано програмне забезпечення, за допомогою якого розв’язується задане рівняння. Проведено аналіз швидкодії заданих методів.
ANNOTATION
In this course work, methods of solving nonlinear equations were considered. Particular attention was paid to Newton's methods, to the cut and simple iteration. The schemes of algorithms were made and the software was written, by which the given equation was solved. The analysis of the speed of given methods was carried out.
ЗМІСТ
1 КОРОТКІ ТЕОРЕТИЧНІ ВІДОМОСТІ 5
1.1 Метод половинного ділення 5
1.2 Метод хибного положення (хорд) 6
3 РОЗРОБКА ПРОГРАМНОГО ЗАБЕЗПЕЧЕННЯ 15
3.1 Вибір мови програмування 15
3.3 Структура програмного забезпечення 16
3.4 Інструкція користувачеві 16
4 ТЕСТУВАННЯ ПРОГРАМНОГО ЗАБЕЗПЕЧЕННЯ 18
4.1 Тестування програми. Тест №1 18
4.2 Тестування програми. Тест №2 20
ВСТУП
В наш час, коли надзвичайно швидкими темпами розвивається наука і техніка, людина освоює все нові і нові галузі, все більше проникає як в надра землі так і за її межі, з’являється багато нових і досить складних задач, рішення яких потребує нових методів і нових підходів. Зокрема надзвичайно велика кількість задач електроніки, електротехніки, механіки, кібернетики та ряду інших галузей науки вимагають від вчених інженерів вирішення досить складних математичних задач які вимагають певного аналізу та нестандартного підходу до вирішення.
З’являються задачі які не можна розв’язати за допомогою класичної математики і отримати точний розв’язок, і в загалі досить часто про отримання точного розв’язку не доводиться говорити, оскільки отримати його при існуючих умовах просто неможливо. Тож ставляться задачі отримати приблизні розв’язки, але якомога близькі до точних. Тому в таких задачах використовуються різні наближені методи рішення тієї чи іншої задачі.
Сучасний світ неможливо уявити без використання комп’ютерних технологій. Зараз комп’ютер використовується у багатьох сферах людського життя. Зараз обчислення залишаються одним із основних видів застосування ЕОМ. Хоча комп’ютер дуже швидко виконує прості арифметичні дії, без спеціальних програм він не в змозі проводити складні обчислення. Тому постає задача алгоритмізувати поставлене завдання, тобто перевести його в зрозумілу для ЕОМ форму.
В даній курсовій роботі досліджено чисельні методи вирішення нелінійних рівнянь, особливу увагу було приділено методам Ньютона, січних та простої ітерації, складено схеми алгоритмів та розроблено програмне забезпечення і вирішено задане нелінійне рівняння.
1 КОРОТКІ ТЕОРЕТИЧНІ ВІДОМОСТІ
У задачах, що пов'язані з ідентифікацією,аналізом,оцінкою якості, моделюванням різноманітних пристроїв автоматики, інформаційно-вимірювальної техніки, радіоелектроніки, виникає потреба у обчисленні нелінійних рівнянь. Існує ряд методів для вирішення нелінійних рівнянь.
Відомо багато чисельних методів для розв’язання нелінійного рівняння, але розглянемо найпопулярніші, а серед них задані на індивідуальне завдання:
-
метод половинного ділення;
-
метод хибного положення(хорд);
наступні - задані на індивідуальне завдання:
-
метод січних;
-
метод простої ітерацїї;
-
метод Ньютона (дотичних).
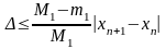
1.1 Метод половинного ділення
В цьому
методі спочатку обчислюється значення
функції в точках, що розташовані через
рівні інтервали на осі х. Коли f(xn)
i
f(xn+1)
мають протилежні знаки, знаходять
,
f(xcp).
Якщо знак f(xcp)
збігається зі знаком f(xn),
то надалі замість хn
використовується хср
. Якщо ж f(xcp)
має знак, протилежний f(xn),
тобто збігається зі знаком f(xn+1),
то на хср
замінюється xn+1
.
За умову припинення ітераційного процесу
доцільно брати умову |
xn+1
– xn|
<
,
де
- задана похибка. Похибка розвязку
Δ
через n
ітерацій знаходиться в межах:
Δ<
.
(1.1)
Метод має малу швидкість збіжності, оскільки інтервал, де знаходиться корінь, з кожним кроком зменшується не більше ніж в два рази.
Рисунок 1.1 - Метод половинного ділення
1.2 Метод хибного положення (хорд)
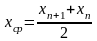
Цей метод полягає в тому, що визначаються значення функції в точках, що розташовані на осі через рівні інтервали. Це робиться поки кінці інтервалів xn+1 , хn не будуть мати різні знаки. Пряма, що проведена через ці дві точки, перетинає вісь у точці
.
(1.2)
Після цього визначають f(xn+1) і порівнюють його з f(xn). Надалі користуються xn+1 замість того значення, з яким воно збіглося за знаком. Якщо | xn+1 – xn| < , то вся процедура повторюється спочатку.
Треба також враховувати, що в алгоритмі обчислень за цим методом контроль похибки ведеться за тим кінцем інтервалу, що рухається.
Похибка розв'язку оцінюється за формулою:
,
(1.3)
де М1, m1 – відповідно, найбільше та найменше значення модуля першої похідної на відрізку.

Рисунок 1.2 - Метод хорд
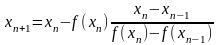
1.3 Метод Ньютона
Метод Ньютона полягає в побудові дотичної до графіка функції в обраній точці. Наступне наближення знаходиться як точка перетину дотичної з віссю ОХ.В основі цього методу лежить розкладання функції в ряд Тейлора:
(1.4)
Члени що містять h у другому і більших степенях відкидаються і в результаті отримується наближена формула для оцінки Хn+1:
хn+1
=
хn
–
,
(1.5)
але
оскільки цей метод є наближеним, то
логічно буде якщо для нього задавати
певну похибку і тоді наближене значення
кореня буде визначатися з виконання
наступної умови:
<
Δ,
де дельта певна задана похибка. Швидкість
збіжності цього алгоритму значною мірою
залежить від вірного вибору початкової
точки. Коли в процесі обчислень кут
нахилу дотичної f’(x)перетворюється
на нуль, застосування цього методу
ускладнюється. Можна також показати,
що у випадку дуже великих значень f
’’(x)
чи кратних коренів метод Ньютона стає
неефективним.