ВУЗ: Не указан
Категория: Не указан
Дисциплина: Не указана
Добавлен: 27.03.2024
Просмотров: 850
Скачиваний: 1
СОДЕРЖАНИЕ
Рекомендовано науково-методичною радою
Вінницького національного аграрного університету
Протокол№___від «___»_____________ 2011 р.
1.2 Системи лінійних рівнянь та методи їх розв’язків.
2.1. Вектори, типи добутків векторів та методи їх розв’язування.
2.3. Пряма та площина у просторі
3.2 Похідна функції та її обчислення
3.4 Неозначений інтеграл. Основні методи інтегрування.
I Метод заміни змінної в неозначеному інтегралі.
V. Інтегрування тригонометричних функцій.
3.5 Означений інтеграл. Формула Ньютона-Лейбніца.
3.4 Неозначений інтеграл. Основні методи інтегрування.
I Метод заміни змінної в неозначеному інтегралі.
V. Інтегрування тригонометричних функцій.
3.5 Означений інтеграл. Формула Ньютона-Лейбніца.
Міністерство аграрної політики та продовольства України
Вінницький національний аграрний університет
Кафедра вищої математики,інформатики
та математичних методів в економіці
МЕТОДИЧНЕ ЗАБЕЗПЕЧЕННЯ САМОСТІЙНОЇ РОБОТИ СТУДЕНТІВ З ВИЩОЇ МАТЕМАТИКИ
НАВЧАЛЬНО-МЕТОДИЧНИЙ ПОСІБНИК
для студентів всіх спеціальностей ВНАУ
Вінниця-2011
УДК 517
Методичне забезпечення самостійної роботи студентів з вищої математики.Навчально-методичний посібник для студентів всіх спеціальностей /Дубчак В.М.- Вінниця: ВНАУ,2011.-162 c.
Укладач: Дубчак В.М.,к.т.н.,доцент кафедри
вищої математики,інформатики та
математичних методів в економіці
Рецезенти: Михалевич В.М.,д.т.н.,професор,зав.кафедрою
вищої математики ВНТУ,
Джеджула О.М.,д.п.н.,професор кафедри ЗТД
ВНАУ
Коротка анотація
Посібник містить перелік типових стандартних практичних завдань з вищої математики, по кожному з яких пропонується 100 незалежних варіантів,з метою організації самостійної, домашньої, розрахунково-графічної роботи. Матеріали посібника можуть бути використані для організації роботи студентів всіх спеціальностей університету,які вивчають основи вищої математики.
Науково-методичне видання
Рекомендовано науково-методичною радою
Вінницького національного аграрного університету
Протокол№___від «___»_____________ 2011 р.
ЗМІСТ
Вступ 4
Короткий теоретичний курс 5
Модуль 1
1.Системи алгебраїчних рівнянь,методи їх розв’язування 58
2.Вектори,типи добутку векторів 70
3.Пряма на площині 83
4.Площина в просторі 84
Модуль 2
5.Границі функцій,розкриття неозначених границь 90
6.Похідні функцій,їх обчислення 123
Модуль 3
7.Дослідження функцій і побудова їх графіків методами 142 диференціального числення
8.Неозначений інтеграл,методи інтегрування функцій 147
Література 162
ВСТУП
Навчальний посібник призначений для організації самостійної,домашньої,розрахунково-графічної роботи студентів всіх спеціальностей,в навчальній програмі яких присутні початкові розділи вищої математики,такі як лінійна алгебра,аналітична геометрія,теорія неозначених границь,основи диференціального та інтегрального числення. В роботі приведені короткі теоретичні матеріали,а по кожному із наведених завдань пропонується по 100 незалежних варіантів для організації самостійного розв’язку. В кінці роботи приведено перелік рекомендованої літератури для виконання даних завдань.
Розділ 1
Лінійна алгебра
Матриці. Дії над матрицями. Визначники.
Матрицею розмірів m x n називається прямокутна таблиця чисел, які розташовані в m рядках і n стовпцях та називаються елементами матриці.
де aij – елементи матриці, i – номер рядка, j – номер стовпця
Множення матриці на число:
λ
Сума (різниця) двох матриць:
* Дана дія виконується тільки для матриць однакової розмірності.
Добуток двох матриць:
C
= A·B
=
,
де ![]()
* Дана дія можлива тільки при умові, якщо кількість рядків першої матриці відповідає кількості стовпцям другої матриці.
Транспонування матриці:
Визначник матриці другого порядку:
= ![]()
Визначник матриці третього порядку (правило трикутників):
−
![]()
Теорема розкладання:
Якщо А – квадратна матриця, то її визначник дорівнює сумі добутків елементів будь – якого стовпця (рядка) на їх алгебраїчне доповнення.
*Теорема розкладу дає можливість обчислювати визначники вищих порядків.
Обернена матриця:
Матриця
А–1
називається оберненою матрицею до
квадратної невиродженої матриці А,
якщо виконується співвідношення:
.
Обернена матриця має вигляд:
.
Приклад 1
Знайти
значення виразу Y=
-3A
+BT,
де А=
;
В=![]()
Розв’язок.
.
Приклад 2
Знайти добуток двох матриць С·D, де
Розв’язок.

Приклад 3
Знайти: detA, det D.
Розв’язок.
Приклад 4
Знайти
матрицю, обернену до матриці
.
Розвязок.
Обчислимо:
.
— обернена матриця існує.
,
,
,
,
,
,
,
,
.
.
Переконаємося,
що матриця А–1,
побудована
нами, справді є оберненою до матриці А.
Знайдемо
:
.
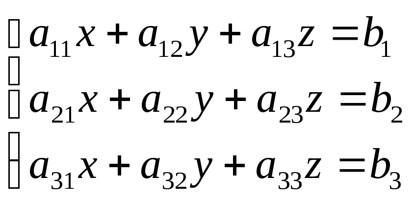
1.2 Системи лінійних рівнянь та методи їх розв’язків.
Система лінійних рівнянь - сукупність скiнченної кількості лінійних рівнянь, розв'язком яких вважають точку, що є розв'язкoм кожного її рівняння. Зокрема, систему тpьох лінійних рiвнянь з тpьома змінними (невiдoмими) зaписyють y вигляді:
(1)
де
і
- задані коефіцієнти системи.Числа
називають також вiльними членами системи.
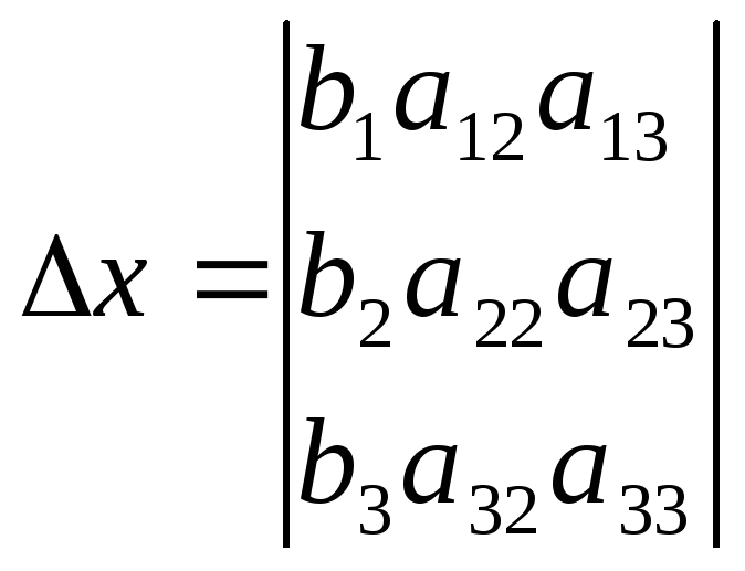
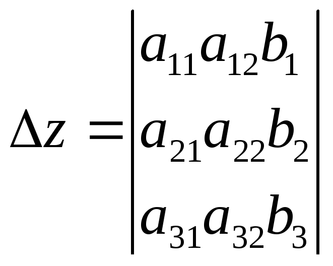
Метод Крамера.
Формули Крaмеpа для системи (1) мають вигляд:
,
де

-визначник
системи (1), а
,
,
- визначники, які дістають з визначникаΔ
заміною першого, другого і третього
стовпців відповідно стовпцем вільних
членів.
Приклад 1.
Користуючись формулами Крамера, pозв'язaти систему pівнянь:
Розв'язок. 0бчислимо визначники системи:
,
,
,

Тоді за формулами Крамера
Таким чином, x = -1, y = 0 , z = 2 - розв'язок системи.
Матричний метод
Система лінійних рівнянь можна записати у вигляді матричної рівності