ВУЗ: Не указан
Категория: Не указан
Дисциплина: Не указана
Добавлен: 04.02.2025
Просмотров: 31
Скачиваний: 1
Отсев грубых погрешностей
Можно встретить большое количество различных рекомендаций для проведения отсева грубых погрешностей наблюдения (аномальных значений) [1]. Предложим для практического использования наиболее простые методы отсева грубых погрешностей.
Если
в распоряжении экспериментатора имеется
выборка небольшого объема n ≤ 25,
то можно воспользоваться методом
вычисления максимального относительного
отклонения [2]:
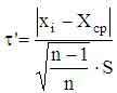
,
где
xi -
крайний (наибольший или наименьший)
элемент выборки, по которой подсчитывались
оценки среднего значения Xср
и среднеквадратичного отклонения S;
τα -
табличное значение статистики τ,
вычисленной при доверительной
вероятности α.
Таким
образом, для выделения аномального
значения вычисляют
,
которое
затем сравнивают с табличным значением
τα:
τ ≤ τα.
Если неравенство τ ≤ τα соблюдается, то наблюдение не отсеивают, если не соблюдается, то наблюдение исключают. После исключения того или иного наблюдения или нескольких наблюдений характеристики эмпирического распределения должны быть пересчитаны по данным сокращенной выборки.
Квантили распределения статистики τ при уровнях значимости α = 0.10, 0.05, 0.025 и 0.01 или доверительной вероятности q = 1 - α = 0.90, 0.95, 0.975 и 0.99 даны в Таблице 1. На практике обычно используют уровень значимости α = 0.05 (результат получается с 95 %-й доверительной вероятностью).
|
Таблица 1 Квантили распределения максимального относительного отклонения при отсеве грубых погрешностей |
|||||||||
|
n |
Уровень значимости α |
n |
Уровень значимости α |
||||||
|
0.10 |
0.05 |
0.025 |
0.01 |
0.10 |
0.05 |
0.025 |
0.01 |
||
|
3 |
1.41 |
1.41 |
1.41 |
1.41 |
15 |
2.33 |
2.49 |
2.64 |
2.80 |
|
4 |
1.65 |
1.69 |
1.71 |
1.72 |
16 |
2.35 |
2.52 |
2.67 |
2.84 |
|
5 |
1.79 |
1.87 |
1.92 |
1.96 |
17 |
2.38 |
2.55 |
2.70 |
2.87 |
|
6 |
1.89 |
2.00 |
2.07 |
2.13 |
18 |
2.40 |
2.58 |
2.73 |
2.90 |
|
7 |
1.97 |
2.09 |
2.18 |
2.27 |
19 |
2.43 |
2.60 |
2.75 |
2.93 |
|
8 |
2.04 |
2.17 |
2.27 |
2.37 |
20 |
2.45 |
2.62 |
2.78 |
2.96 |
|
9 |
2.10 |
2.24 |
2.35 |
2.46 |
21 |
2.47 |
2.64 |
2.80 |
2.98 |
|
10 |
2.15 |
2.29 |
2.41 |
2.54 |
22 |
2.49 |
2.66 |
2.82 |
3.01 |
|
11 |
2.19 |
2.34 |
2.47 |
2.61 |
23 |
2.50 |
2.68 |
2.84 |
3.03 |
|
12 |
2.23 |
2.39 |
2.52 |
2.66 |
24 |
2.52 |
2.70 |
2.86 |
3.05 |
|
13 |
2.26 |
2.43 |
2.56 |
2.71 |
25 |
2.54 |
2.72 |
2.88 |
3.07 |
|
14 |
2.30 |
2.46 |
2.60 |
2.76 |
|||||
Процедуру отсева можно повторить и для следующего по абсолютной величине максимального относительного отклонения, но предварительно необходимо пересчитать оценки среднего значения Xср и среднеквадратичного отклонения S для выборки нового объема n - 1.
Пример: Первичная подготовка выборки
Рассмотрим
другой метод отсева грубых погрешностей
для малой выборки [3]. В этом случае
вычисляют статистику
и
полученный результат сравнивают с
критическим значением, взятым из
Таблицы 2 при соответствующих n и q =
1 - α.
|
Таблица 2 Критические точки для отсева грубых погрешностей при малых выборках |
|||
|
n |
1 - α = 0.90, α = 0.10 |
1 - α = 0.95, α = 0.05 |
1 - α = 0.99, α = 0.01 |
|
3 |
1.41 |
1.41 |
1.41 |
|
4 |
1.64 |
1.69 |
1.72 |
|
5 |
1.79 |
1.87 |
1.96 |
|
6 |
1.89 |
2.00 |
2.13 |
|
7 |
1.97 |
2.09 |
2.26 |
|
8 |
2.04 |
2.17 |
2.37 |
|
9 |
2.10 |
2.24 |
2.46 |
|
10 |
2.15 |
2.29 |
2.54 |
Пример: Отсев грубых погрешностей при малых выборках
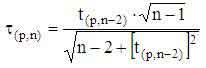
Отсев грубых погрешностей можно производить и для больших выборок. Для практических целей лучше всего использовать таблицы распределения Стьюдента. Этот метод исключения аномальных значений для выборок большого объема отличается простотой, а таблицы распределения Стьюдента имеются практически в любой книге по математической статистике и в большинстве серьезных математических пакетов. Распределение Стьюдента относится к категории распределений, связанных с нормальным распределением. Подробно эти распределения рассмотрены в учебниках по математической статистике.
Известно,
что критическое значение τp
(p - процентная точка нормирования
выборочного отклонения) выражается
через критическое значение распределения
Стьюдента tp, n-2
[4]:
.