ВУЗ: Не указан
Категория: Не указан
Дисциплина: Не указана
Добавлен: 14.04.2025
Просмотров: 333
Скачиваний: 0
Алгоритм метода Фибоначчи
Шаг 1.
Задаётся
точность
и число вычислений функции
.
Шаг 2.
Вычисляется
длина начального интервала
и число
(
– число вычислений функции
изменяется от
до
).
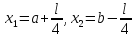
Шаг 3.
Вычисляем
,
где
- числа Фибоначчи. Вычисляем
в начальной точке.
Если величина
не задана, рекомендуется выбирать её
из условия
.
Шаг 4.
Находим
и вычисляем
.
Шаг 5.
5.1
Если
и
,
то исключается интервал
,
а остаётся интервал
.
Полагаем
.
Если условие 5.1 выполнено, переходим к
шагу 6.
5.2
Если
и
,
то исключается интервал
,
а остаётся интервал
.
Полагаем
.
Переходим к шагу 6.
5.3
Если
и
,
то остаётся интервал
.
Полагаем
.
Переходим к шагу 6.
5.4
Если
и
,
то остаётся интервал
.
Полагаем
.
Переходим к шагу 6.
Шаг 6.
Увеличиваем
и проверяем условия 6.1 и 6.2
6.1
Если
,
то переходим к шагу 4.
6.2
Если
,
то работа окончена и последний интервал,
где расположен оптимум, найден. Переход
к шагу 7.
Шаг 7.
Интервал
неопределённости
.
В качестве оптимального значения
можно принять:
Пример
Методом
Фибоначчи минимизировать функцию
на интервале
при
и
.
Поскольку
из таблицы чисел Фибоначчи выберем
и
.
Итерация 1
Шаг 1.
Шаг 2.
Шаг 3.
Вычисляем
.
Шаг 4.
Находим

Шаг 5.
Сравнение
.
Следовательно, выполняется пункт 5.1 и
надо исключить интервал
.
Оставляем интервал
.
Переприсвоение:
.
Шаг 6.
Увеличиваем
.
Проверяем условие
.
Т.к.
переходим ко второй итерации и делаем
шаг 4.
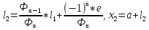
Итерация 2
Шаг 4.
Находим
.
Шаг 5.
Сравниваем
.
Согласно шагу 5.1 остаётся интервал
.
Переприсвоение:
.
Шаг 6.
.
Сравниваем
.
Переходим к итерации 3.
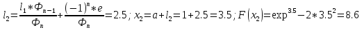
Итерация 3
Шаг 4.
Находим
.
Шаг 5.
Сравниваем
и
.
Согласно шагу 5.3 остаётся интервал
.
Переприсвоение:
.
Переходим к шагу 6.
Шаг 6.
Сравниваем
,
поэтому переходим к шагу 7.
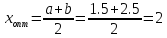
Шаг 7.
Найденный
интервал неопределённости
.
В качестве оптимального значения
можно принять, например, середину
интервала неопределённости:
.
Точное значение аргумента, при котором
достигается минимум
,
равно
.
Метод дихотомии
Методы поиска, которые позволяют определить оптимум функции одной переменной путём последовательного исключения подинтервалов и, следовательно, путём уменьшения интервала поиска, носят название методов исключения интервалов. Метод дихотомии – один из методов исключения интервалов. В процессе применения методов исключения интервалов можно выделить две фазы:
Фаза установления границ интервала, на котором реализуется процедура поиска. Это могут быть границы достаточного широкого интервала заведомо содержащего точку оптимума. В поисковых задачах оптимизации отрезок, на котором находится точка минимума, называют интервалом неопределённости.
Фаза уменьшения интервала, на котором реализуется конечная последовательность преобразований исходного интервала с тем, чтобы уменьшить его длину до заранее установленной величины
(точности поиска экстремума).
Первый этап может отсутствовать, если интервал, заведомо содержащий экстремум функции, уже задан. Вторая фаза, фаза установления интервала, реализуется различными методами уменьшения интервала:
Методом дихотомии
Методом золотого сечения
Методом Фибоначчи
Суть метода
дихотомии состоит в последовательном
разбиении интервала, содержащего
экстремум (его называют интервалом
поиска), на подинтервалы и исключении
одного из них, заведомо не содержащего
экстремум. Величина подинтервала,
исключаемого на каждом шаге, зависит
от расположения пробных точек
и
внутри интервала поиска. Поскольку
местонахождение точки оптимума заранее
не известно, целесообразно предположить,
что размещение пробных точек должно
обеспечивать уменьшение интервала в
одном и том же отношении на каждом шаге.
В методе дихотомии это отношение равно
,
т.е. интервал неопределённости делится
на каждом шаге пополам и отбрасывается
часть, где минимум заведомо быть не
может.
Алгоритм
Шаг 1.
Положить
.
Вычислить
.
Шаг 2.
Положить
.
Заметим, что точки
делят интервал
на
равные части. Вычислить значения
и
.
Шаг 3.
Сравнить
и
.
Если
,
исключить интервал
,
положив
.
При этом средней точкой нового интервала
поиска становится точка
,
следовательно, необходимо положить,
что
.
Перейти к шагу 5.
Если
,
перейти к шагу 4.
Шаг 4.
Сравнить
и
.
Если
,
исключить интервал
,
положив
.
Т.к. в середине нового интервала
оказывается
,
положить
.
Перейти к шагу 5.
Если
,
исключить интервалы
и
,
положив
.
Заметим, что
продолжает оставаться средней точкой
нового интервала. Перейти к шагу 5.
Шаг 5.
Вычислить
.
Если величина
меньше заданной точности
,
закончить поиск. В противном случае
перейти к шагу 2.