ВУЗ: Московский авиационный институт (национальный исследовательский университет)
Категория: Ответы к тестам
Дисциплина: Физика
Добавлен: 16.02.2019
Просмотров: 1716
Скачиваний: 7
-
Тепловое излучение. Энергетическая светимость и спектральная плотность энергетической светимости тел. Закон Кирхгофа.
Электромагнитное излучение, возникающее за счет внутренней энергии излучающего тела, называется тепловым излучением. Оно определяется температурой и оптическими свойствами тела.
Энергетическая светимость Me [Вт/м2] – количество энергии, излучаемой за единицу времени по всем направлениям с единицы площади поверхности тела во всем диапазоне длин волн.
Спектральная плотность энергетической светимости Mλ,T [Вт/м3] – количество энергии, излучаемой за единицу времени по всем направлениям с единицы площади поверхности тела в единичном диапазоне длин волн.
Энергетическая светимость и спектральная плотность энергетической светимости связаны следующим образом: Mλ,T = dMe/dλ; Me = λ,T dλ .
Спектральная плотность энергетической светимости Mλ,T и коэффициент поглощения aλ,Tлюбого тела связаны соотношением, называемым законом Кирхгофа: в состоянии теплового равновесия отношение спектральной плотности энергетической светимости к спектральному коэффициенту поглощения не зависит от природы тела и является для всех тел одной и той же универсальной функцией, равной спектральной плотности энергетической светимости абсолютно черного тела: (Mλ,T /aλ,T)1 = (Mλ,T /aλ,T)2 = Moλ,T .
-
Абсолютно черное тело. Закон Стефана–Больцмана. Закон смещения Вина.
Тело, которое при всех температурах полностью поглощает все падающее на него излучение во всем диапазоне длин волн, называется абсолютно черным. Спектральный коэффициент поглощения абсолютно черного тела равен единице для всех длин волн, т.е.: aλ,T = aT = 1.
Закон Стефана – Больцмана: Энергетическая светимость абсолютно черного тела пропорциональна четвертой степени абсолютной температуры: M0e = σT4, где σ = 5,67 · 10-8 Вт/(м2 · К4) – постоянная Стефана – Больцмана.
Закон смещения Вина: длина волны λ’, на которую приходится максимум излучения в спектре абсолютно черного тела, обратно пропорциональна абсолютной температуре: λ’ = b/T, где b = 2,9 · 10-3 м·К.
3.Квантовая гипотеза Планка. Формула Планка для спектральной плотности энергетической светимости абсолютно черного тела.
Квантовая гипотеза Планка состояла в том, что для элементарных частиц, любая энергия поглощается или испускается только дискретными порциями (квантами). Эти порции состоят из целого числа квантов с энергией таких, что эта энергия пропорциональна частоте ν с коэффициентом пропорциональности, определённым по формуле: ε=hv, где h=6,626·10-34 Дж·с – постоянная Планка.
Формула Планка для расчета спектральной плотности энергетической светимости абсолютно черного тела имеет вид: Moλ,T = 2πhc2/λ5·1/exp(hc/λkT)-1, где c = 3·108 м/с – скорость света в вакууме, k = 1,38·10-23 Дж/К – постоянная Больцмана.
4. Корпускулярно–волновой дуализм излучения. Фотоны. Эффект Комптона.
Корпускулярно-волновой дуализм свойств ЭМ излучения. Это означает, что природу света можно рассматривать с двух сторон: с одной стороны это волна, свойства которой проявляются в закономерностях распространения света, интерференции, дифракции, поляризации. С другой стороны свет - это поток частиц, обладающие энергией, импульсом. Корпускулярные свойства света проявляются в процессах взаимодействия света с веществом (фотоэффект, эффект Комптона).
Фотон – элементарная частица, квант электромагнитного излучения.
Энергия фотона: ε = hv, где h = 6,626 · 10-34 Дж·с – постоянная Планка.
Масса фотона: m = h·v/c2. Эта формула получается из формул
ε = hv и ε = m·c2. Масса, определяемая формулой m = h·v/c2, является массой движущегося фотона. Фотон не имеет массы покоя (m0 = 0), так как он не может существовать в состоянии покоя.
Эффект Комптона – рассеяние электромагнитного излучения на свободном электроне, сопровождающееся уменьшением частоты излучения. В этом процессе электромагнитное излучение ведёт себя как поток отдельных частиц – корпускул, что доказывает двойственную – корпускулярно-волновую – природу электромагнитного излучения. Комптоновское рассеяние – это рассеяние на свободном электроне отдельного фотона с энергией Е=hν=hc/λ и импульсом р=Е/с.
Для рассеяния на покоящемся электроне частота рассеянного фотона:

,
где
—
угол рассеяния (угол между направлениями
распространения фотона до и после
рассеяния). Комптоновская длина волны
- параметр размерности длины, характерный
для релятивистских квантовых процессов.
λС =
h/m0ec
= 2,4∙10-12м
– комптоновская длина волны электрона.
-
Фотоэффект. Законы внешнего фотоэффекта.
Фотоэффект— это испускание электронов из вещества под действием падающего на него света.
-
Количество фотоэлектронов N’e, вырываемых из катода за единицу времени, пропорционально интенсивности света, падающего на катод (закон Столетова). Или иначе:ток насыщения пропорционален мощности падающего на катод излученияŃф=P/εф .
-
Максимальная кинетическая энергия фотоэлектронов зависит только от частоты света ν и не зависит от его интенсивности.
-
Для каждого вещества существует «красная граница» фотоэффекта, т. е. минимальная частота ν0 света (зависящая от химической природы вещества и состояния его поверхности), при которой свет любой интенсивности фотоэффекта не вызывает. Уравнение Эйнштейна: ε = Aвых + mv2max/2, где ε = hv – энергия поглощенного фотона, Aвых – работа выхода электрона из вещества, mv2max/2 – максимальная кинетическая энергия вылетевшего электрона.
6. Давление света.
Давление света — давление, которое оказывает свет, падающий на поверхность тела.
Если рассматривать свет как поток фотонов, то, согласно принципам классической механики, частицы при ударе о тело должны передавать импульс, другими словами — оказывать давление. Такое давление иногда называют радиационным давлением. Для вычисления давления света можно воспользоваться следующей формулой:
p = E/c (1+p), где E - количество лучистой энергии, падающей нормально на 1 м2 поверхности за 1 с; c— скорость света, p - коэффициент отражения.
Если
свет падает под углом к нормали, то
давление можно выразить формулой:
где
— объёмная плотность энергии излучения,
— коэффициент отражения,
— единичный вектор направления
падающего пучка,
— единичный вектор направления отражённого пучка.
-
Ядерная модель атома водорода. Спектр атома. Теория Бора для атома водорода и водородоподобных систем.
Модель Бора выявила истинное значение спектральных законов и позволила установить, как эти законы отражают квантовый характер внутренней структуры атома - устойчивость структуры атома оказалась неразрывно связанной с существованием квантов. В модели Бора каждый атом обладает некоторой последовательностью квантовых (стационарных) состояний. Каждый вид атома имеет свою последовательность квантовых значений энергии, соответствующих различным возможным стационарным состояниям.
Постулаты Бора:
1) В атоме существует ряд дискретных стационарных состояний, которым соответствуют определенные значения энергии атома E1, E2 и т.д. В стационарном состоянии атом не излучает и не поглощает энергии.
2) Переходя из одного стационарного состояния в другое, атом излучает и поглощает квант энергии ε = hv, равный разности энергий En и En' двух стационарных состояний: hv = En' - En.
Атом водорода (Z = 1) имеет наиболее простой линейчатый спектр излучения. Частоты спектральных линий для атома водорода и водородоподобных атомов определяются по формуле: v = Rv(1/n2 – 1/n'2), где Rv = Z2me4/8ε02h3 =3,29·1015 с-1 – постоянная Ридберга.
Также эта формула может быть записана через длину волны λ: 1/λ = Rλ(1/n2 – 1/n'2), где Rλ= 1,097 · 107 м-1.
-
Корпускулярно–волновая природа частиц вещества. Волны де–Бройля, их вероятностный смысл.
Корпускулярно-волновой дуализм — это теория о том, что свет представляется на микроуровне одновременно и как мельчайшие частицы (корпускулы), и как волны. В частности, свет — это и корпускулы (фотоны), и электромагнитные волны.
Волны
де Бройля — волны, связанные с любой
микрочастицей и отражающие их квантовую
природу. Любая движущаяся частица
(например, электрон) ведёт себя не только
как локализованный в пространстве
перемещающийся объект - корпускула, но
и как волна, причём длина этой волны
даётся формулой
=
h/р, где h = 6.6.10-34 Дж.сек
– постоянная Планка, а р – импульс
частицы. Эта волна и получила название
волны де Бройля.
Согласно статистической интерпретации волны де Бройля следует рассматривать как волны вероятности. Более определенно: интенсивность волны де Бройля в каком-либо месте пространства пропорциональна вероятности обнаружить частицу в этом месте.
Если
рассматривать свет как поток частиц
(фотонов), то для фотона мы не можем
определить, в какую точку на экране он
попадет. Для фотона можно рассчитать
только вероятность попадания его в ту
или иную точку (w).
И эта вероятность w ~ I ~ A2.
Чтобы описать распределение вероятности
нахождения частиц в пространстве в
квантовой механике используют волновую
функцию ψ(х,у,z,t)
(пси функцию). Пси функцию определяют
следующим образом:
.
dw– вероятность того, что частица
находится в некотором элементарном
объеме dV.
Физический
смысл имеет не ψ-функция, а ее квадрат
модуля, который определяет вероятность
обнаружения частицы в данном объеме
(точка):
![]()
3.Соотношения неопределенностей Гейзенберга.
Принцип неопределённости Гейзенберга - в квантовой механике так называют принцип, дающий нижний (ненулевой) предел для произведения дисперсий величин, характеризующих состояние системы.
Соотношения неопределённости Гейзенберга — это теоретический предел точности любых измерений. Они справедливы для так называемых идеальных измерений, иногда называемых измерениями фон Неймана. Они тем более справедливы для неидеальных измерений или измерений Ландау.
Соотношение
неопределенности Гейзенберга показывает,
что между точностью, с которой одновременно
может быть установлено положение
частицы, и точностью ее импульса
существует определенное соотношение:
q
p ≥ ħ,
где
-
среднеквадратичное отклонение.
произведение неопределённости
измерения импульса
px на
неопределённость измерения координаты
x не
может быть меньше постоянной
Планка:
![]()
4.Волновые свойства микрочастиц. Экспериментальные подтверждения гипотезы де–Бройля и принципа неопределенностей Гейзенберга.
Микрочастицами называют элементарные частицы (электроны, протоны, нейтроны, фотоны и другие простые частицы), а также сложные частицы, образованные из сравнительно небольшого числа элементарных частиц (молекулы, атомы, ядра атомов и т.п.). Волновые свойства: Гипотеза Де-Бройля; дифракция частиц; корпускулярно-волновой дуализм микрочастиц.
Гипотеза де Бройля была подтверждена экспериментально в опытах американских физиков Дэвиссона и Джермера. В вакууме узкий пучок моноэнергетических электронов, получаемый с помощью электронно-лучевой трубки, направлялся на мишень. Отраженные электроны улавливались детектором, соединенным с гальванометром. По силе электрического тока в гальванометре судили о количестве электронов, зарегистрированных детектором. Число электронов, отраженных в некоторых направлениях, оказалось больше, а в некоторых меньше, чем следовало ожидать. Возникало избирательное отражение в определенных направлениях. Опыты явились блестящим подтверждением идеи де Бройля о том, что движение электрона или какой–либо другой частицы связано с волновым процессом.
5.Волновая функция и ее свойства
Волновая функция имеет статистический смысл: квадрат модуля волновой функции определяет плотность вероятности нахождения частицы (электрона): dw/dV = |Ψ|2.
Здесь dw вероятность нахождения частицы в элементе объема от V до V+dV.
Свойства волновой функции:
1)
Правило нормировки:
![]()
Правило выражает тот факт, что вероятность обнаружить частицу с данной волновой функцией во всем пространстве равна единице.
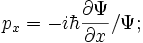
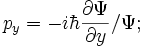
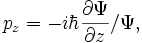
2) Импульс частицы в каждом из направлений x, y, z пропорционален первой производной волновой функции, делённой на саму волновую функцию, а именно:
![]()
![]()
где px , py , pz —
проекции импульсов на соответствующие
оси координат, i = √-1 - мнимая единица, ħ
= h/2π - постоянная Планка.
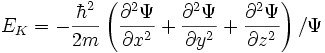
3)
Кинетическая энергия частицы
(p2x + p2y + p2z)
/ 2m пропорциональна второй производной,
или кривизне волновой функции, деленной
на эту волновую функцию
.
6.Стационарное уравнение Шредингера. Его решение.
Стационарное уравнение Шредингера для движения электрона в кулоновском поле ядра атома водорода и водородоподобных атомов имеет вид: ∆ψ + (8π2m/h2)(E-U)Ψ = 0,
где Ψ – волновая функция, ∆ - оператор Лапласа, Е – полная энергия электрона в атоме, U = -(Ze2/4πε0r) – потенциальная энергия.
Решением
этого уравнения является малая пси
функция
![]()
Квадрат
модуля пси функции определяет вероятность
того, что частица будет обнаружена в
пределах объема dV
![]()
Вероятность
обнаружить частицу в какой-либо точке
пространства = 1, следовательно
![]()
Квадрат
модуля пси функции дает плотность
вероятностей нахождения частицы в
соответствующем месте пространства
![]()
Пси функцию называют волновой функцией
7.Частица в бесконечно глубокой потенциальной яме. Квантование энергии частицы. Собственные значения волновой функции.
Потенциальная яма – область пространства, где присутствует локальный минимум потенциальной энергии частицы.
Электрон в атоме может иметь только определенные дискретные (квантованные) значения энергии, которые совпадают с выражением
E=-(Z2me4/8ε02h2n2),
где n – главное квантовое число.
Используя граничные условия, имеем:
Ψ(x = 0) = a sin α = 0 Отсюда, α = 0
Ψ(x = 1) = a sin ωl = 0 Отсюда, ωl = ± nπ (n = 1,2, …)
Учитывая значения ω, получим:
En = ħ2π2/2ml n2 (n = 1, 2, …)
En – собственные значения энергии.
Принцип квантования энергии гласит, что любая система взаимодействующих частиц, способная образовывать стабильное состояние - будь то кусок твердого тела, молекула, атом или атомное ядро, - может сделать это только при определенных значениях энергии.
8.Прохождение частиц через потенциальный барьер. Туннельный эффект.
Потенциальный барьер – ограниченная в пространстве область, в которой потенциальная энергия частицы, движущейся в силовом поле, больше, чем по обе стороны от нее. Потенциальный барьер соответствует силам отталкивания.
Туннельный эффект - преодоление микрочастицей потенциального барьера в случае, когда её полная энергия (остающаяся при туннелировании неизменной) меньше высоты барьера. Туннельный эффект — явление исключительно квантовой природы, невозможное в классической механике; аналогом туннельного эффекта в оптике является прохождение световой волны сквозь слой вещества, показатель преломления которого меньше, чем у граничащих с ним сред, в условиях, когда по законам геометрической оптики это невозможно.
В
областях I и III потенциальная энергия
равна нулю: U (– ∞ < x 0)
= U (a
x < ∞) = 0; . В области II (0 < x < a )
потенциальная энергия U = U0
> 0. Именно эта область является
потенциальным барьером.
9.Основное состояние атома водорода с точки зрения квантовой механики. Уравнение Шредингера и его решение.