ВУЗ: Нижегородский государственный технический университет
Категория: Лекция
Дисциплина: Основы теории управления
Добавлен: 15.02.2019
Просмотров: 1490
Скачиваний: 5

Основы теории управления
Лекция 12
Нелинейные системы

Нелинейные САУ
•
Нелинейным элементом (звеном) называется
устройство, процессы в котором описываются
нелинейными математическими моделями.
•
Нелинейной системой называется такая система, в
которой присутствует хотя бы одно нелинейное
звено.

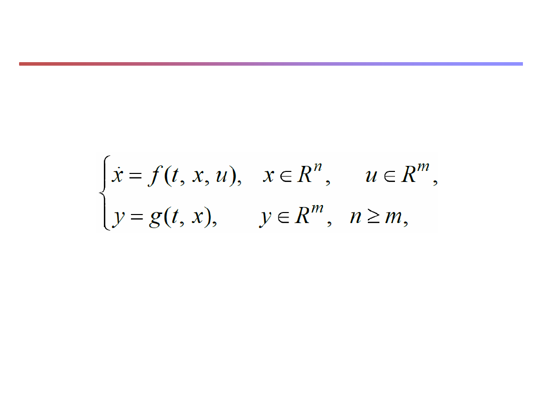
Математическое описание нелинейных САУ
Динамические характеристики нелинейных звеньев и
систем описываются нелинейными обыкновенными
дифференциальными уравнениями.
где x – вектор состояния, u – управление,
y
– выход, f и g - нелинейные вектор-функции.

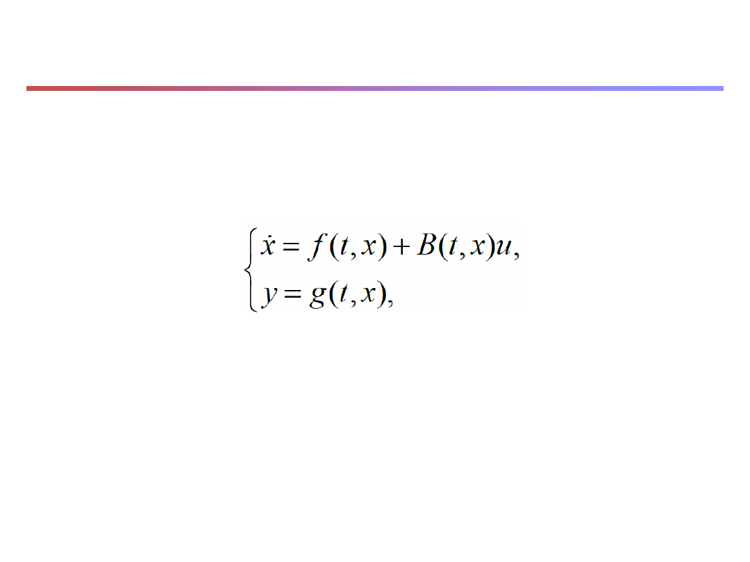
Математическое описание нелинейных САУ
В частном случае управляющее воздействие может
входить в уравнение состояния в виде суммы с
нелинейными коэффициентами:
где B – матрица нелинейных коэффициентов размера
n x m.
Такие
системы
называются
нелинейными
нестационарными
системами
с
аддитивным
управлением.

Математическое описание нелинейных САУ
Если параметры системы с течением временем не
меняются и возмущающие воздействия пренебрежимо
малы, то она называется нелинейной стационарной
системой: