Файл: Основы Теории управления Раздобреев Лекции (часть 1).doc
ВУЗ: Новосибирский государственный технический университет
Категория: Лекция
Дисциплина: Основы теории управления
Добавлен: 15.02.2019
Просмотров: 1739
Скачиваний: 9
МИНИСТЕРСТВО РОССИЙСКОЙ ФЕДЕРАЦИИ ПО СВЯЗИ И ИНФОРМАТИЗАЦИИ
Сибирский государственный университет телекоммуникаций и информатики
Кафедра ПМиК
М.М РАЗДОБРЕЕВ
ОСНОВЫ ТЕОРИИ УПРАВЛЕНИЯ
Конспект лекций
Новосибирск
2006
-
Классификация систем
Теория автоматического управления – это наука об общих принципах построения и расчета систем, выполняющих свои функции без непосредственного участия человека.
Классификация производится по признакам.
-
Классификация по принципу управления
-
Принцип разомкнутого управления
На рисунке 1.1 изображена функциональная схема системы.
Рисунок 1.1 - Функциональная схема системы
На рисунке 1.1 введены следующие обозначения:
ОУ – объект управления;
БЗ – блок задания;
БУП – блок усиления и преобразования;
УМ – усилитель мощности;
Y – выходная регулируемая координата ОУ;
V – входной сигнал;
U – управляющее воздействие.;
Z – возмущающее воздействие.
На рисунке 1.2 изображена упрощенная модель ОУ.
Рисунок 1.2 - Упрошенная модель ОУ
На рисунке 1.2 введены следующие обозначения:
КУ – канал управления, т.е. канал влияния U на Y;
КВ – канал возмущения, т.е. канал, через который Z изменяет Y от заданного, предписанного значения;
ЗС – звено суммирования.
Модель описывается следующим уравнением:
Y = Y1 – Y2 = KUU – KZZ = K1K2KUV – KZZ, (1.1)
где K1, K2, KU, KZ – передаточные коэффициенты.
При Z=0 можно записать предписанное значение выходной координаты как:
Y = K1K2KUV. (1.2)
Достоинство - простота системы.
Недостатком является низкая точность поддержания требуемого значения Y.
1.1.2 Принцип управления по возмущению
На рисунке 1.3 изображена функциональная схема системы .


Рисунок 1.3 - Функциональная схема системы
На рисунке 1.3 введены следующие обозначения:
БИП – блок измерения и преобразования;
Z1 – основное возмущающее воздействие, которое можно измерить;
Z2, Z3 – возмущающие воздействия, которые не поддается измерению.
Пусть ОУ описывается уравнением:
Y = KUU – KZZ1, (1.3)
Пусть требуется найти алгоритм управления, позволяющий исключить влияние Z1 на Y.
На основе формулы 1.2 и 1.3 можно записать:
KUU – KZZ1 = K1K2KUV.
Тогда алгоритм управления можно записать в виде:
U = K1K2V + (KZ / KU)Z1. (1.4)
Достоинство - возможность компенсации влияния на Y измеряемого основного возмущающего сигнала;
Поскольку все возмущающие сигналы измерить невозможно, то требуемое значение Y в системе поддерживается с низкой точностью.
-
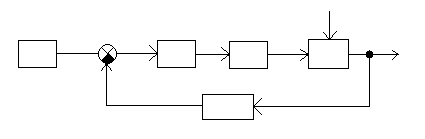
Принцип управления по отклонению с созданием замкнутой системы
На рисунке 1.4 изображена функциональная схема системы.


Рисунок 1.4 - Функциональная схема системы
Достоинство - высокая точность поддержания требуемого значения Y;
Однако появляются проблема устойчивости.
-
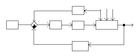
Комбинированный принцип
На рисунке 1.5 изображена функциональная схема системы.


Рисунок 1.5 - Функциональная схема системы
-
Классификация по характеру изменения выходной координаты
-
Системы автоматической стабилизации Y (V = const).
-
Системы программного управления (V изменяется программно).
-
Следящие системы (V изменяется случайно).
-
Классификация по степени участия человека в управлении
-
Системы автоматического управления (САУ).
-
Системы автоматизированного управления.
Системы автоматизированного управления включают следующие компоненты:
-
АСУП – автоматизированные системы управления производством промышленных продуктов.
-
АСУЦ – автоматизированные системы управления цехом.
-
АСУТП – автоматизированные системы управления технологическими процессами (управления группой оборудования).
2 Математическое описание систем
-
Стандартные входные воздействия
-
Единичное ступенчатое воздействие.
(2.1)
График функции приведен на рисунке 2.1.
Рисунок 2.1 – График функции V=1(t)
Изображение Лапласа функции 1(t):
(2.2)
-
Единичное импульсное воздействие.
(2.3)
(2.4)
Пусть δ1 = 100, тогда Δt = 0,01.
Формула (2.4) может использоваться при реализации функции δ(t), (см. рисунок 2.2).
Рисунок 2.2 – График функции δ(t)
.
(2.5)
-
Гармонический сигнал.
V = cos(ωt), (2.6)
где
;
fk, Tk – частота и период колебаний соответственно.
-
Линеаризация систем
Процесс преобразования нелинейного уравнения в линейное, называют линеаризацией.
Пусть рассматриваемая система содержит нелинейный элемент, имеющий статическую характеристику вида:
.
(2.7)
В точке, соответствующей основному установившемуся рабочему режиму системы, нелинейная характеристика может быть разложена в ряд Тейлора:
(2.8)
Поскольку в системах автоматической стабилизации Δx мало, то в правой части (2.7) можно ограничиться двумя слагаемыми.
![]()
![]()
Поскольку:
![]()
![]()
то окончательно можно записать уравнение:
(2.9)
Таким образом, при малых Δx в окрестности рабочей точки нелинейный элемент заменяется линейным с передаточным коэффициентом k. Такую линеаризацию называют линеаризацией методом касательных.
В дальнейшем будет рассматриваться уравнение:
(2.10)
не забывая при этом о проведенной линеаризации.
-
Частотные характеристики
Передаточной функцией звена или системы называют отношение изображения Лапласа выходного сигнала к входному сигналу при нулевых начальных условиях.
Пусть найдена передаточная функция звена.
(2.11)
На сновании (2.10) можно записать изображение выходного сигнала.
(2.12)
Структурная схема звена приведена на рисунке 2.3.
Рисунок 2.3 – Структурная схема звена
При
можно записать частотную передаточную
функцию в виде:
(2.13)
где
,
- действительная и мнимая части
соответственно.
- амплитудочастотная
функция;
- фазочастотная
функция.
График зависимости
называют амплитудофазовой частотной
характеристикой (АФЧХ).
Тогда схема звена приведена на рисунке 2.4.
Рисунок 2.4 – Схема звена
Поскольку:
,
(2.14)
то можно сделать
вывод, что
- это передаточный коэффициент звена,
зависящий от частоты ω.
удобно строить в
логарифмических координатах. За единицу
измерения принят 1 Белл – это единица
измерения
,
где
-
коэффициент усиления мощности сигнала.
(2.15)
График зависимости
называется логарифмической
амплитудочастотной характеристикой
(ЛЧХ).
График зависимости
называется фазочастотной характеристикой
(ФЧХ).
Декадой (дек)
называют интервал, на котором частота
изменяется в 10 раз.
Структурная схема – это графический способ записи операторных уравнений.
Операторное уравнение – это уравнение, записанное в изображении переменных по Лапласу.
3 Элементарные типовые звенья систем управления
-
Пропорциональное безынерционное звено
-
Уравнение процессов в звене:
,
(3.1)
где k – передаточный коэффициент звена, k=const.
-
Операторное уравнение:
.
(3.2)
Передаточная функция звена:
.
(3.3)
-
Переходная функция – это реакция звена на единичное ступенчатое воздействие.
Переходная функция звена (см. рисунок 3.1) имеет вид:
![]()
Рисунок 3.1 - Переходная функция пропорционального безынертного звена
-
АФЧХ звена.
Частотная передаточная функция звена:
,
(3.4)
где
,
,
,
.
Амплитудно-фазовая частотная характеристика (АФЧХ) звена приведена на рисунке 3.2.
Рисунок 3.2 - АФЧХ звена
-
Логарифмические частотные характеристики звена.
,
(3.5)
.
Пусть
,
тогда:
.
Логарифмические частотные характеристики звена приведены на рисунке 3.3.
Рисунок 3.3 - Логарифмические частотные характеристики звена
-
Интегрирующее звено
-
Уравнение процессов в звене:
(3.6)
-
Операторное уравнение процессов звена:
![]()
(3.7)
Передаточная функция звена:
(3.8)
-
Переходная функция звена.
(3.9)
Переходная характеристика звена приведена на рисунке 3.4.
Рисунок 3.4 – Переходная характеристика интегрирующего звена
-
АФЧХ звена.
(3.10)
На рисунке 3.5 приведена ФАЧХ звена.
Рисунок 3.5 – АФЧХ интегрирующего звена
-
Логарифмические частотные характеристики звена.
(3.11)
.
(3.12)
Уравнение (3.11) является уравнением прямой линии с наклоном:
(3.13)
Пусть k=10 – координаты точки, через которую пройдет ЛАХ звена.
![]()
На рисунке 3.6 приведена логарифмическая частотная характеристика (ЛЧХ) интегрирующего звена.
Рисунок 3.6 – ЛЧХ интегрирующего звена
-
Пропорциональное инерционное звено первого порядка.
-
Уравнение процессов в звене:
,
(3.14)
где Т – постоянная времени звена.
![]()
-
Передаточная функция звена:
.
(3.15)
-
Переходная функция звена.
На основе (3.15) можно записать изображение выходного сигнала:

.
.
Поскольку
,
то переходная функция звена имеет вид:
.
(3.16)
4) АФЧХ звена.
Частотная передаточная функция звена:

;
;
; (3.17)
.
АФЧХ звена приведена на рисунке 3.7.

Рисунок 3.7 – АФЧХ пропорционального интегрирующего звена первого порядка
Частота сопряжения звена:
.
(3.18)
5) Логарифмические частотные характеристики звена.
Логарифмическая амплитудочастотная функция звена может быть заменена асимптотической характеристикой вида:
(3.19)
Логарифмическая амплитудочастоная характеристика (ЛАХ) состоит из двух линейных участков.
Расчет наклона характеристики на втором участке:

Пусть k=100; Т=0,1с;
![]()
![]()
![]()
ЛЧХ звена приведена на рисунке 3.8.
Рисунок
3.8 – ЛЧХ пропорционального инерционного
звена первого порядка
-
Дифференцирующее звено
-
Уравнение процессов в звене:
(3.20)
-
Операторное уравнение звена:
;
;
.
(3.21)
-
Частотная передаточная функция звена может быть записана в виде:

АФЧХ дифференцированного звена приведена на рисунке 3.9.
Рисунок 3.9 – АФЧХ дифференцирующего звена
-
Логарифмические частотные характеристики звена:
(3.22)
Пусть Т=0,1с, тогда (3.27) соответствует уравнению прямой линии с наклоном:
.
Первая точка имеет координаты:
![]()
![]()
![]()
ЛЧХ дифференцированного звена приведена на рисунке 3.10.
Рисунок 3.10 – ЛЧХ дифференцирующего звена
-
Форсирующее звено первого порядка
-
Уравнение процессов в звене:
(3.23)
-
Операторное уравнение звена:
.
.
Передаточная функция звена:
(3.24)
-
Частотная передаточная функция звена:
При
частотная передаточная функция звена
имеет вид:
(3.25)
-
Логарифмические частотные характеристики звена.
Логарифмические асимптотические амплитудочастотные характеристики звена:
(3.26)
![]()
![]()
Пусть k=1;
Т=0,1с;
.
ЛЧХ форсирующего звена первого порядка приведена на рисунке 3.11.
Рисунок 3.11 – ЛЧХ форсирующего звена первого порядка
-
Пропорциональное инерционное звено второго порядка
-
Уравнение процессов в звене:
(3.27)
-
Операторное уравнение звена:
![]()
Передаточная функция звена имеет вид:
(3.28)
Структурная схема звена приведена на рисунке 3.12.
Рисунок 3.12 – Структурная схема звена
Характеристическое уравнение звена имеет вид:
(3.29)
Уравнение (3.29) имеет действительные корни при условии:
(3.30)
т. е. при
.
При выполнении условия (3.30) рассматриваемой звено может быть представлено двумя пропорциональными звеньями первого порядка:
(3.31)
Приравнивая правые части (3.285) и (3.31), можно записать следующие уравнения:
(3.32)
-
Построение и преобразование структурных схем
-
Последовательное соединение звеньев
Пусть дана структурная схема системы вида (см. рисунок 4.1).
Рисунок 4.1 – Структурная схема последовательно соединенных звеньев
Путем структурных
преобразований требуется найти общую
передаточную функцию схемы
.
На основе структурной схемы можно записать следующее уравнение:
(4.1)
Исключая промежуточные переменные, окончательно можно записать изображение выходного сигнала в виде:
![]()
Поскольку
,
то окончательно можно записать:
(4.2)
Если последовательно соединены n элементов, то расчетная формула имеет следующий вид:
(4.3)
-
Параллельное соединение звеньев
Пусть на рисунке 4.2 приведена структурная схема трех параллельно соединенных звеньев.
Рисунок 4.2 – Структурная схема параллельно соединенных звеньев
По структурной схеме можно записать изображение выходного сигнала вида:
![]()
Тогда передаточная функция определяется по формуле:
.
(4.4)
-
Звено, охваченное обратной связью
Пусть на рисунке 4.3 приведена структурная схема звена, охваченного обратной связью.
Рисунок 4.3 – Структурная схема замкнутой системы
На рисунке 4.3 приведены следующие обозначения:
- передаточная
функция звеньев прямой цепи;
- передаточная
функция звеньев обратной связи;
- изображение
ошибки регулирования.
На основе рисунка можно сделать вывести уравнение:
(4.5)
Исключая в системе
уравнений (4.5) промежуточную переменную
,
можно записать уравнение вида:
![]()
где верхний знак соответствует «-» ОС, а нижний знак соответствует «+» ОС.
![]()
Таким образом, передаточная функция замкнутой системы рассчитывается по формуле:
(4.6)
где
- передаточная функция разомкнутой
системы:
![]()
-
Перенос звена суммирования
Пусть на рисунке 4.4 приведена исходная структурная схема системы.
Рисунок 4.4 – Исходная структурная схема системы
На основе рисунка 4.4 можно записать следующие уравнения:
![]()
,
Тогда, исключая
промежуточный цикл
,
окончательно можно записать:
(4.7)
На рисунке 4.5 приведена схема переноса ЗС по ходу сигнала.
Рисунок 4.5 – Преобразованная структурная схема (перенос ЗС по ходу сигнала)
На рисунке 4.6 приведена схема переноса ЗС против хода сигнала.